
열-구조 안정성을 고려한 비공기압 타이어 격자구조 설계 최적화: 킥 스쿠터용 타이어의 적용 연구
Copyright Ⓒ 2025 KSAE / 237-03
This is an Open-Access article distributed under the terms of the Creative Commons Attribution Non-Commercial License(http://creativecommons.org/licenses/by-nc/3.0) which permits unrestricted non-commercial use, distribution, and reproduction in any medium provided the original work is properly cited.
Abstract
This study aims to optimize the design of lattice structures for kick scooter airless tires in order to address thermal deformation and improve structural stability. Thermal-structural analysis was used to analyze nine models using thermoplastic polyurethane(TPU) with varying support configurations. Among the models, the honeycomb structure with four hoop pipe supporters demonstrated superior performance. Performance factors for optimizing the kick scooter airless tire lattice structure were derived using an inscribed central composite design. In addition, the surrogate model was generated using the response surface method. Multi-objective optimization was performed using the non-dominated sorting genetic algorithm II to minimize weight and maximize stiffness while satisfying constraints on stress, contact pressure uniformity, and natural frequency. As a result, Opt.2 of the Pareto chart satisfied the constraint functions, with the objective function of weight increasing by 34 % due to the hoop pipe supporters. Nevertheless, the objective function of stiffness increased by 99 %, and it was selected for its effective weight-stiffness balance.
Keywords:
Airless tire, Lattice structures, Thermal deformation, Thermal-structural analysis, Multi-objective optimization키워드:
비공기압 타이어, 격자구조, 열 변형, 열-구조 해석, 다중 목적 최적화1. 서 론
최근 비공기압 타이어(Airless tire)는 발전하고 있는 자동차 산업에서 각광받고 있다. 비공기압 타이어는 공기 대신 격자구조 스포크(Spoke)를 사용해 펑크(Puncture) 위험이 없어 주행 중 사고 위험을 감소시킨다. 또한, 지속적인 공기압 확인 및 계절에 따른 공기압 조절 등 불편함이 없어 유지 보수에 용이하며 긴 수명에 의해 폐타이어 발생을 줄여 친환경적이다. 이에 비공기압 타이어에 대한 활발한 연구가 수행되고 있다.1)
김진규 등2)은 공기압 타이어와 비공기압 타이어의 노면 충격 시 에너지 손실을 연구하였다. 본 연구에서는 오그제틱(Auxetic) 스포크 구조의 비공기압 타이어와 기존 공기압 타이어의 회전 시 노면 돌기 충격에 따른 에너지 손실을 비교 분석하였다. 오그제틱 스포크 구조를 갖는 비공기압 타이어는 공기압 타이어보다 충격에 의한 에너지 손실이 낮음을 확인하였다. 황순옥 등3)은 패턴 형상을 고려한 비공기압 타이어의 수막 성능을 예측하였다. 모놀리식(Monolithic) 해석 방법을 통해 트레드(Tread) 패턴 형상에 따른 비공기압 타이어의 수막 성능 예측 해석을 한 후 공기압 타이어와 비교하였다. 그 결과, 비공기압 타이어는 공기압 타이어와 유사한 수막현상 경향을 나타내면서도 일부 패턴에서는 더 우수한 성능을 보이는 것으로 확인되었다.
기존의 비공기압 타이어는 측면형 구조로 제작되어 스포크가 원주 방향에 대해 불연속적으로 배열된다. 이로 인해 원주 방향으로 타이어의 강성 불균일이 존재하여, 주행 시에 소음 및 진동 문제를 야기시키게 되고 고속 주행에 한계가 존재한다. 또한, 주행 중 발생하는 마찰열로 인해 고온에서 열 변형 문제가 존재하여 상용화에 어려움이 있다.
조흥준 등4)은 허니콤(Honeycomb)과 오그제틱 스포크 구조를 갖는 비공기압 타이어의 진동 특성을 연구하였다. 이에 따라 진동에 대한 비공기압 타이어가 갖는 취약점 파악과 구조적 안정성을 확보하기 위해 고유 진동 해석을 수행하였다. 허니콤 구조는 평면(In-plane)방향 강성이 공기압 타이어 보다 상대적으로 낮아서 허니콤 구조의 비공기압 타이어는 비틀림(Torsion) 방향으로 취약점을 가지게 된다. 황순옥과 김기훈5)은 원주형 스포크 구조를 갖는 비공기압 타이어의 구조적 타당성을 검토하였다. 기존 비공기압 타이어 스포크 형상은 직선, 곡선, 격자, 허니콤 등 다양한 형상으로 이루어지며, 측면으로 연속적인 구조를 이루고 있다. 이러한 구조는 측면에서 보았을 때 스포크 구조를 이루는 선들이 원주방향으로 일정한 간격으로 배치된다. 따라서 주행 시 수직 강성이 다른 부분이 반복적인 회전으로 인해 진동이 발생하게 되어 내구성, 승차감, 진동 성능 등이 현저히 저하된다는 문제점을 언급하였다. 이에 강성 불균일을 제어하기 위해 원주형 스포크 구조를 제안하였으며, 구조해석을 통해 공기압 타이어와 유사한 접지 형상을 가지고, 측면형 구조보다 수직 방향 변위량이 감소함을 확인하였다. 반면에 원주형 스포크 구조는 열 방출에 취약하여 마찰에 의한 비공기압 타이어의 열 변형 문제에 대한 한계가 존재한다. Fu 등6)은 유연한 스포크 비공기압 타이어의 열-기계 연성 해석에 대해 연구하였다. 비공기압 타이어는 구조적 특성상 반복적인 변형이 많이 발생하기 때문에 과열이 발생하기 쉬운 구조이다. 이는 타이어의 수명, 성능 및 운전자의 안전성에 부정적인 영향을 미칠 수 있으므로 열 관리가 필수적이다. 상기 연구에서는 열-기계적 순차 결합 방법을 사용하여 다양한 작동 조건에서 유연한 스포크 비공기압 타이어의 열-기계적 결합 특성을 조사하였다. 이를 통해 비공기압 타이어의 후속 피로 파괴 연구 및 구조 최적화 설계에 대한 방법 지침을 제공하였다. 이는 부하를 줄이는 조건에서 주행 속도를 증가시킬 수 있으므로 현재 비공기압 타이어의 고속 작동으로 인한 과열 문제를 해결하였다. 그러나 측면형 구조이기 때문에 여전히 강성 불균일 등 측면형 구조의 한계가 존재한다.
위 선행 연구들의 한계점들을 극복하기 위해 본 연구에서는 비공기압 타이어의 구조적 안정성과 방열 특성을 고려한 스포크(Spoke) 격자구조의 설계 최적화(Design optimization)를 수행하였다. 선행적으로, 종방향(δV) 및 횡방향(δH) 강성을 보완하기 위해 원주방향 원형관 서포터(Hoop pipe supporters)를 적용하였다. 설계된 격자구조의 성능을 평가하기 위해 열-구조 연성 해석(Thermal-structural analysis)을 수행하여 열 분포와 열응력을 분석하고, 강성 및 고유진동수(Natural frequency) 특성을 평가하였다.
또한, 강성 최대화 및 경량화를 목표로 설계 최적화를 수행하였다. 이를 위해 평균분석(Analysis of mean, ANOM) 기법을 활용하여 민감도 분석을 수행하였다. 내접중심합성계획법(Inscribed central composite design, ICCD)과 유한요소해석(Finite element analysis, FEA)을 적용하여 반응표면법(Response surface method, RSM)을 활용한 대리모델(Surrogate model)을 구축하였다. 이를 기반으로 비 지배 분류 유전자 알고리즘(Non-dominated sorting genetic algorithm II, NSGA-II)을 통한 최적화 기법을 적용하여 최적 설계안을 도출하고, FEA를 통해 타당성을 검증한다.
2. 열-구조 안정성 해석
2.1 비공기압 타이어 모델링
비공기압 타이어 구조는 선행 연구에서2) 활용 빈도가 높은 오그제틱, 허니콤 구조와 이미 상용화된 미쉐린(Michelin) 구조로 구성하여 모델링을 수행하였다. 각 구조에 2, 4개의 원주방향 원형관 서포터를 삽입하여 서포터가 없는 기본 모델을 포함한 총 9개의 모델을 구성하였으며 Fig. 1과 Fig. 2에 서포터 형상과 9가지 모델을 각각 나타내었다.
일반 승용차 타이어 직경은 보통 600 mm에서 700 mm 사이이나, 본 연구에서는 프로토타입을 적층 제조하기 위해 베드 크기를 고려하여 킥 스쿠터(Kick scooter) 타이어 크기로 조정하여 직경을 200 mm로 설정하였다.7) 모든 비공기압 타이어 모델은 외경 200 mm, 내경 128 mm, 폭 50 mm로 설계하였으며, 두께 2 mm의 원형관 서포터를 삽입하였다. 이를 Fig. 3에 나타내었다.
비공기압 타이어의 모델링은 상용 프로그램 ANSYS SpaceClaim을 기반으로 수행하였다. 유한요소 모델은 SOLID187(3D 10-node Tetrahedral) 요소와 SOLID186(3D 20-node Hexahedral) 요소를 혼합한 하이브리드 격자(Mesh)를 사용하여 모델링 하였으며, 이에 대한 요소(Element)와 절점(Node) 수를 Table 1에 나타내었다.
비공기압 타이어는 복잡한 응력 조건과 다양한 환경적 요구를 충족해야 한다. 본 연구에서는 열가소성 폴리우레탄(Thermoplastic polyurethane, TPU)을 타이어 소재로 선정하였다. 이는 뛰어난 탄성과 복원력을 통해 충격 분산 및 진동 흡수에 적합하며, 내마모성과 충격 저항성을 바탕으로 구조적 안정성을 제공한다.8)
2.2 열 전달 및 열 응력 해석
본 연구에서는 비공기압 타이어의 열 분포와 열 응력을 평가하기 위해 열-구조 해석을 수행하였다. TPU의 열적 물성으로는 밀도, 열전도율, 열팽창계수, 비열을 적용하였다. 열팽창계수는 온도 변화에 따른 TPU의 열적 변형 거동을 정확히 반영하기 위해 선정하였으며, 이를 Table 2에 나타내었다.
열 하중 조건은 상온 24 ℃를 내부에 적용하였으며, 킥스쿠터 주행 시 발생할 수 있는 최고 온도는 50 ℃이나 대류 열전달로 인한 냉각효과를 고려하여 온도를 60 ℃로 보정해 외부에 적용하였다. 외부 온도는 여름철에 BOSCH사의 GIS 500 적외선 온도계 모델을 통해 확인하여 해석 정확성을 높이고 결과의 신뢰성을 확보하였다. 실제 실험사진을 Fig. 4에 나타내었다.
열 분포 및 응력 해석을 위해 타이어 내부에 구속 조건(Fixed support)을 적용해 휠 허브와 타이어의 접촉부 변형을 제한하였으며, 이를 Fig. 5에 나타내었다.
2.3 구조 안정성 해석
비공기압 타이어의 하중지지 성능, 구조적 안정성 및 내구성을 평가하기 위해 ANSYS Workbench 정적 구조(Static structural) 해석을 수행하였다. 해석을 위한 TPU의 물성치를 Table 3에 나타내었다.
지면과 타이어 간 물리적 상호작용을 모사하기 위해 지면 플레이트(Plate)와 타이어 사이의 접촉 조건은 마찰 조건(Frictional)을 적용하였다. 지면 플레이트의 하부에는 구속조건(Fixed support)을 적용하여 플레이트의 이동을 제한하였으며 이를 Fig. 6(a)에 나타내었다. 또한, 타이어의 내면에 대하여 국부 좌표계 기준 Z축을 제외한, X축 및 Y축 방향의 변위(Displacement)를 0으로 구속하여 이를 Fig. 6(b)에 나타내었다.
Fig. 6(c) 및 (d)에 나타낸 하중 조건은 타이어에 작용하는 종, 횡방향의 하중을 모사하기 위해 설정되었다. 타이어 내면의 하중은 좌표계 기준 Z축 방향으로 적용하였다. 킥 스쿠터 탑승자의 질량을 80 kg으로 가정하고, 자유낙하 운동 방정식을 이용하여 단일 타이어에 작용하는 수직 하중을 산출하였다. 낙하 높이 300 mm, 중력 가속도 9.81 m/s²를 고려할 경우, 충돌 직전 속도는 식 (1)과 같이 계산되며, 그 값은 2.426 m/s로 도출된다. 충돌 지속시간을 0.1초로 가정하면, 순간 감속도는 식 와 같이 정의되며, 이때의 값은 ‒24.3 m/s²이다. 또한, 충격 하중은 식 과 같이 표현되며 ‒1940.8 N으로 산출된다. 바퀴가 2개일 경우, 개별 타이어에 작용하는 하중은 약 970.4 N이다. 또한, 극한 환경을 고려하여 탑승자의 무게 증가 및 낙하 높이 변화를 반영한 시뮬레이션을 수행하였다. 이를 위해 하중 조건 1,500 N 기준으로 상/하한 범위를 1,000 N에서 2,000 N으로 설정하여 구조적 안전성을 평가하였다.
| (1) |
| (2) |
| (3) |
2.4 열 전달 및 열 응력 해석 결과
열 전달 해석을 통해 허니콤 구조가 가장 균일한 열 분포를 보였다. 열 분포가 균일할수록 각 구간에서 발생하는 열 응력(σthermal)이 감소하며, 이에 따라 열 변형도 줄어드는 경향이 나타난다. 열 응력 측면에서는 오그제틱 구조와 허니콤 구조가 가장 낮은 응력 값을 나타내었다. 열 응력 측면에서도 열 분포와 동일하게 낮은 응력은 적은 변형을 일으킨다. 열 분포해석과 열 응력 해석의 결과를 Fig. 7(a) 및 (b)에 각각 나타내었다.
2.5 정적 구조 해석 결과
비공기압 타이어의 정적 구조 해석 결과를 Table 4에 나타내었다. 종, 횡방향 변위 측면에서 Case 9, Case 8 및 Case 6 모델 순서로 각 하중 조건에서 낮은 변위량이 발생함에 따라 강성이 우수한 모델로 평가되었다. 반면, Case 1 모델은 타 구조에 비해 상대적으로 높은 변위를 나타내 낮은 강성을 보였다. 전체 모델을 비교하였을 때, 서포터 삽입으로 인해 변위량이 감소하여 강성이 향상되는 것을 확인하였다.
본 미세스 응력(von-Mises stress, sVM) 측면에서는 Case 4, Case 6 및 Case 3 모델이 순서대로 낮은 수준의 응력 분포가 나타났다. 이는 응력 집중이 최소화되고 구조적 취약성이 낮음을 의미한다. Case 8 모델의 경우는 1,500 N, 2,000 N에서 소재의 항복 강도를 초과하였다. 전체 모델을 비교하였을 때, 2개 서포터가 삽입된 모델이 상대적으로 높은 σVM을 나타내었다. 이러한 결과는 서포터 개수 및 배치 위치가 응력 분포에 영향을 미치는 것을 확인하였다.
CP 균일성의 측면에서 2개의 서포터를 삽입한 모델 (Case 2, Case 5, Case 7)은 중앙으로 하중이 집중되는 결과를 확인하였으며, 이는 타이어의 중앙 마모를 야기할 수 있다.9) 서포터를 4개 삽입한 모델이 서포터를 2개 삽입한 모델 대비 균일한 접지압 분포를 나타냈으며 Case 6 모델이 분포 편차가 제일 낮게 나타났다.
고유진동수 측면에서는 설계한 킥 스쿠터 타이어 직경(200 mm)과 최대 규정속도(25 km/h)를 고려하여 식 (4)를 통해 663 RPM을 산출하였다.
이를 식 (5)를 통해 11.05 Hz로 변환하여 설계 기준 값으로 설정하였다. Table 5에 나타낸 고유진동수 해석 결과값을 분석하여 전체 모델의 1차 고유진동수가 기준 값인 11.05 Hz를 초과하여 공진 회피 설계의 타당성을 검증하였다. Case 6, Case 9 및 Case 3 모델이 순서대로 높은 1차 고유진동수를 나타내어 동적 안정성 측면에서 상대적으로 우수한 성능을 보였다. Case 1 모델의 경우 상대적으로 낮은 고유진동수가 나타났으나, 여전히 기준 값을 초과하여 안정성을 확보하였다. 이는 원형관 서포터 삽입 여부에 상관없이 허니콤 및 미쉐린 구조가 동적 구조 안정성이 상대적으로 뛰어남을 의미한다.
| (4) |
| (5) |
본 연구에서는 열 응력, 구조 강성 및 응력, 고유진동수, 접지압 분포를 종합적으로 분석하였다. 분석 결과, Case 6 모델은 각 하중 조건에서 종, 횡방향의 변위가 작아 강성이 우수하다. 또한, 안정적인 응력 분포와 낮은 σVM을 통해 구조적 취약성을 최소화하고 높은 신뢰성을 확보할 것으로 판단하였다. 고유진동수의 경우, 설계 기준 값인 11.05 Hz를 초과하여 공진 회피 설계의 기준을 만족하였다. CP 균일성 측면에서는 균일한 접지압과 낮은 분포 편차를 보여 접지 특성이 뛰어난 것으로 확인하였다. 이러한 결과를 종합적으로 고려하여 최적화 수행 모델을 Case 6으로 선정하였다.
선정된 9개 모델에 대한 열-구조 안정성을 확인하고자 2절에서 열-구조 해석과 정적 구조 해석을 독립적으로 수행하였다. 근사 최적 설계를 위한 3절에서는 열-구조 및 정적 구조 해석을 동시에 고려한 해석 결과를 적용하였다.
3. 근사 최적 설계
3.1 최적 설계 문제 정식화
허니콤 구조에 4개의 서포터가 삽입된 Case 6 모델을 기반으로 스포크 구조 최적화를 수행하기 위해 설계변수와 목적 및 제한함수를 정의하였으며, 최적화 문제를 수학적으로 정식화 하여 식 (6)에 나타내었다. 이는 CP 균일성, 고유진동수, 허용 응력 제한함수를 만족하며, 스포크 구조의 강성 최대화와 경량화를 목적으로 한다. x1, x2는 각각 반경 방향 스포크 두께, 원주 방향 스포크 두께를 의미한다. x3는 허니콤 셀의 수평 방향 내각이며, x4는 원주 방향 원형관 서포터의 내경을 의미한다. 설계변수들은 Fig. 9(a) 및 (b)에 나타내었으며, 각 변수는 스포크 구조의 안정성과 강성에 영향을 미치는 요소로 작용한다. 선정된 설계변수 x1, x2, x3은 허니콤 셀의 기하학적 형상(육각형)이 적절히 유지될 수 있도록 구조적 특성을 고려하여 변수 범위를 선정하였으며, x4는 경량화(w)와 강성(k) 보강의 균형을 달성하기 위해 설정되었다.10)
| (6) |
CP 균일성은 접지압의 최대값과 최소값의 차이를 기반으로 정량화된 지표로 정의되며, 타이어의 접지 성능을 확보하기 위해 해당 값을 0.8이상으로 설정하였다. 스포크 구조의 기준강도(σ)는 앞서 수행한 유한요소해석에 적용된 인장응력 26 MPa과 동일하게 적용하였다. 허용응력(σa)은 σVM을 통해 확인하였으며, 이를 13 MPa 이하로 제한하여 안전 계수(Safety Factor, S) 2 이상을 만족하도록 설정하였다. 또한, 고유진동수(𝜔)는 해석 결과를 기반으로 9개 모델의 1차 모드 평균값인 194.49 Hz보다 보수적으로 설정하기 위해, 200 Hz 이상으로 설정하였다. 이를 통해 고속 주행 시 공진을 회피하는 설계를 수행하고자 하였다.
3.2 실험계획법
스포크 구조 설계변수와 목적 및 제한함수간 민감도 분석을 위해 Table 6과 같이 각 설계변수 상/하한 범위 내에서 3수준 4요인의 직교배열표기반 실험계획법(Design of experiment, DOE)을 수립하였으며,11) 이를 Table 7에 나타내었다. 각 실험점의 성능지수들은 열-정적 구조 해석을 수행하여 결과를 도출하였다. 이를 기반으로 ANOM을 통해 목적 및 제한함수에 대한 각 설계변수의 민감도를 평가하여 최적 설계에 유효한 설계변수를 선정하였다.
3.3 평균분석
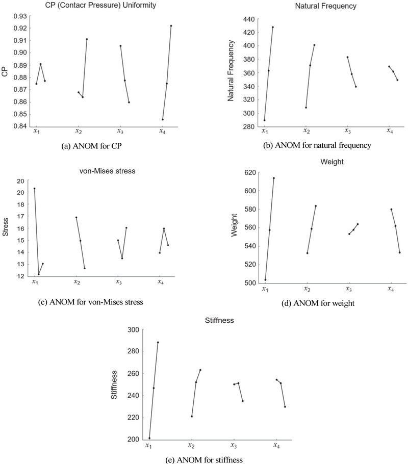
스포크 설계변수의 변화가 목적함수와 제한함수에 미치는 영향을 분석하기 위해 직교배열표를 활용하여 ANOM을 수행하였다. Fig. 10은 직교배열표를 기반으로 목적 및 제한함수에 대한 민감도 분석 결과를 나타낸다. 이는 CP 균일성, 고유진동수, 등가 응력, 중량, 강성에 대한 수준 변화에 따른 기울기를 통해 민감도 경향성을 알 수 있다. Fig. 10(a)에서 CP 균일성 측면의 설계변수 x1은 다른 변수에 비해 낮은 민감도를 보였다. 반면, x2, x3, x4는 상대적으로 큰 변화 폭을 보이며, 중요한 영향을 미치는 변수로 분석되었다. Fig. 10(b)는 고유진동수와 설계 변수 간 민감도를 나타낸다. 설계변수 x4의 민감도가 낮게 나타나, 상대적으로 낮은 영향을 미치는 것으로 확인하였다. 반면, 설계변수 x1과 x2는 고유진동수 변화에 유의미한 영향을 미치는 변수로 분석되었으며, 이는 공진 회피 설계와 구조적 안정성 확보에 중요한 변수임을 알 수 있다. Fig. 10(c)는 σVM과 설계변수 간 관계를 보여준다. 설계변수 x1은 응력 분포에서 높은 민감도를 보여주는 주요 변수로 분석되며, 설계 변경 시 응력 분포에 중요한 영향을 미칠 것으로 판단된다. Fig. 10(d)의 중량 측면에서 설계변수 x3의 민감도가 낮게 나타나, 경량화를 목표로 하는 설계에서 상대적으로 영향이 적은 변수로 파악되며, x1과 x2는 경량화를 위한 유의미한 영향을 미치는 변수로 분석된다. Fig. 10(e)의 강성 측면에서는 설계변수 x1이 주요한 영향을 미치는 변수로 확인하였다. 앞서 언급한 바와 같이, 고유진동수에서는 설계변수 x4가 중량에서는 x3가 상대적으로 낮은 민감도를 보였으나 CP 균일성, σVM 및 강성 성능에서는 모든 설계변수가 높은 민감도를 보였음을 확인하였다. 이러한 분석 결과를 바탕으로 대리모델 구축 과정에서 고유진동수는 x4, 중량은 x3의 설계변수를 제외하였다.
3.4 중심합성계획법
요인배치법은 전체 설계인자 및 수준을 기반으로 수립된 실험계획을 통해 모든 요인 효과를 고려할 수 있다. 이를 구축하기 위해 데이터를 확보하고자 CCD를 활용하였다. CCD의 실험점 수는 설계변수의 중심점(Center point)과 축점(Axial point)을 포함하며, 각 실험점은 다양한 설계변수 수준에서 성능을 평가하는 데 사용된다. 실험 횟수는 설계변수 개수 k와 중심점 개수 n0=1를 기반으로 정의되며 식 (7)에 나타내었다.12)
| (7) |
여기서 2k은 설계변수 수준에서 모든 요인배치법 실험점 개수, 2k는 축 점을 나타낸다. 본 연구에서는 설계변수 범위 내에서 실험점을 생성하기 위해 ICCD를 채택하였으며, 이를 통해 수립된 설계변수 조합에 대해 2절과 동일한 재료물성 및 경계조건을 통해 FEA를 수행하여 성능지수를 확보하였으며, 이를 Table 8에 나타내었다.
3.5 성능지수에 대한 대리모델 생성
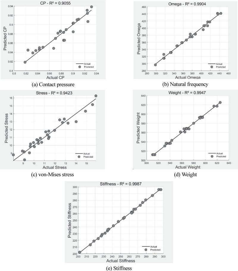
대리모델은 설계 영역에서 제한 및 목적함수 간의 관계를 수학적으로 표현하여 성능을 예측하고 최적화를 수행하는 데 활용된다. 이는 물리적 실험이나 수치 시뮬레이션에 소요되는 비용과 시간을 절감할 수 있다.13) 앞서 설계 최적화를 위해 ICCD를 활용하여 성능지수를 확보하였으며, 이를 기반으로 RSM을 적용하여 비공기압 타이어 스포크 구조의 설계변수와 제한 및 목적함수 간의 대리모델을 구축하기 위해 최소 자승법(Least square method)을 적용하였다. Fig. 11은 RSM을 통해 구축한 대리모델의 적합도 R2 값을 도식화 하여 나타낸 결과이다. 앞서 수행한 평균분석 결과를 반영하여, 고유진동수 대리모델에서는 설계변수 x4, 중량 대리모델에서는 설계변수 x3를 제외하였다. 고유진동수, 중량, 강성은 2차 대리모델로 생성되었으며, CP 균일성과 σVM 모델은 반응의 비선형적 특성을 반영하기 위해 3차 대리모델로 생성되었다. 이러한 대리모델은 CP 균일성, 고유진동수, σVM의 제한함수와 경량화 및 강성 최대화 목적함수를 위해 구축되었고, 수학적 표현은 각각 식 (8), (9), (10), (11) 및 (12)에 나타내었다. 이와 같이 구축된 대리모델은 식 (5)의 정식화를 기반으로 제한 및 목적함수로 설정하고 NSGA-II 알고리즘을 이용하여 최적화를 수행하였다.
| (8) |
| (9) |
| (10) |
| (11) |
| (12) |
3.6 근사 최적 설계
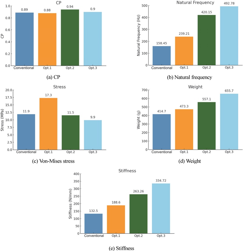
본 연구에서는 RSM 대리모델을 기반으로 다중목적함수의 최적화를 수행하기 위해 NSGA-II를 통해 최적화를 수행하였다.14) 기존 단일 목적 최적화와 달리, NSGA-II는 파레토 차트(Pareto chart)를 통해 설계자에게 최적해의 집합을 보여준다.15) Fig. 12에 제시된 파레토 차트는 NSGA-II를 통해 도출된 결과로, 제한함수를 만족하는 최적해의 집합을 나타낸다. 모든 최적해에 대해 FEA를 통해 검증을 수행하는 것이 이상적이나, 해석 과정에 소요되는 시간 비용 감소를 위해 파레토 차트에서 양단 끝점(Opt. 1, Opt. 3)과 중간 점(Opt. 2)을 추출하여 검증을 수행하였다. 검증 결과는 Table 9에 나타내었다.
4. 결 과
NSGA-II를 활용하여 도출된 세 개의 최적 설계안(Opt. 1, Opt. 2, Opt. 3)에 대해 FEA를 통해 비교 검증을 수행하였다. 대리모델 기반 NSGA-II 최적화 결과, Opt. 1, Opt. 2 및 Opt. 3는 제한함수를 만족하는 것으로 나타났으나, FEA를 통해 검증한 결과 Opt. 1의 응력 값은 17.3 MPa로, 제한함수인 허용응력 13 MPa을 초과하는 것으로 확인되었다. 이는 대리모델이 설계변수와 목적함수 간의 비선형적 상관관계를 충분히 반영하지 못한 데에서 기인한 것으로 판단되며, 대리모델의 한계를 개선하기 위해 대리모델 생성기법 변경 및 추가적인 데이터 적용이 요구될 것으로 판단된다. 반면, Opt. 2와 Opt. 3는 제한함수를 모두 만족하였으며, NSGA-II와 FEA 결과 간 오차율이 전반적으로 낮게 나타나 구조적 안정성과 설계 성능이 균형 있게 최적화된 설계안으로 확인되었다. Fig. 13은 NSGA-II를 통해 도출된 세 개의 최적 설계안과 서포터가 없는 기존 허니콤 격자구조(Case 4)를 비교한 결과를 나타낸다. 이를 통해 원주 방향 원형관 서포터의 도입이 구조적 성능에 미치는 영향을 평가하고, 최적 설계의 유효성을 검토하였다. 원주방향 원형관 서포터의 삽입으로 기존 구조 대비 무게는 각각 약 14 % (Opt. 1), 34 % (Opt. 2), 58 % (Opt. 3) 증가하였으나, 강성은 약 42 % (Opt. 1), 99 % (Opt. 2), 153 % (Opt. 3) 향상된 것으로 나타났다. CP 균일성은 기존 구조 대비 Opt. 1에서 1.12 % 감소한 반면, Opt. 2와 Opt. 3에서는 각각 5.62 %, 1.12 % 증가하였다. 특히, 최적 설계안인 Opt. 2에서는 가장 높은 증가율을 보였다. 또한, Opt. 2와 Opt. 3는 제한함수를 모두 만족하여 구조적 안정성을 확보하였으며, 최적화된 설계안이 기존 구조 대비 우수한 성능을 나타냈다. 이 중 Opt. 2는 제한함수를 만족하며, 동시에 무게와 강성의 균형을 가장 효과적으로 유지한 설계안으로 평가된다.
5. 결 론
본 연구는 비공기압 타이어의 열-구조적 안정성 확보와 경량화 및 강성 최대화를 목적으로 열-구조 해석, 근사 최적화를 통해 최적 설계안을 도출하였다. 열-구조 해석 결과, 미쉐린 구조에 비해 오그제틱, 허니콤 구조에 열 분포의 균일성과 열 응력 감소 측면에서 상대적으로 우수한 성능을 보였다. 정적 구조 해석 결과, 허니콤 구조에 4개의 원주방향 원형관 서포터를 삽입한 모델(Case 6)에서 종, 횡방향 강성, 접지압 및 응력 측면에서 9개 모델 중 상대적으로 우수한 성능을 보였다. 이를 기반으로 근사 최적 설계에서는 NSGA-II 기반 다중 목적 최적화를 수행하여 강성 최대화와 경량화 간 상충관계(Trade-off)를 고려한 최적 설계안을 도출하였다. 최적화 과정에서 도출된 세 개의 설계안 중 Opt. 2는 제한함수를 모두 만족하면서, 원주방향 원형관 서포터 삽입으로 기존 허니콤 구조 대비 무게는 약 34% 증가하였으나, 강성이 최대 99% 향상되어 무게와 강성 간 균형을 가장 효과적으로 유지한 설계안으로 판단된다. 이는 설계 최적화를 통해 비공기압 타이어 설계에서 구조적 안정성과 경량화 간 균형을 성공적으로 달성할 수 있음을 보여준다. 향후 연구에서는 도출한 최적 설계안을 기반으로 프로토타입 제작 및 기계적 시험을 통해 실제 구동 환경에서의 성능을 검증하는 작업이 요구된다. 특히 반복 하중과 피로 특성을 포함한 다양한 주행 조건에서의 신뢰성을 평가하여 타이어 내구성을 확인하고자 한다. 또한, 자동차와 항공기 등 다양한 이동 수단에 적용 가능한 범용적 설계 프레임워크를 개발하여 비공기압 타이어의 상용화를 앞당기고, 지속 가능한 타이어 기술 발전을 위한 기틀을 마련할 것으로 기대된다.
Acknowledgments
이 연구는 2025년도 경상국립대학교 글로컬대학30사업에 의하여 수행되었음.
References
- K. Kim and C. Kwak, “Introduction to the Technological Trends, Challenges and Solutions of Non-Pneumatic Tires,” Auto Journal, KSAE, Vol.41, No.10, pp.26–31, 2019.
-
J. Kim, H. Cho, H. Kim and D. Kim, “The Analysis of Energy Loss of Pneumatic Tire and Non-pneumatic Tire on Impact,” Transactions of KSAE, Vol.22, No.1, pp.110–116, 2014.
[https://doi.org/10.7467/KSAE.2014.22.1.110]
- S. Hwang, K. Jung, C. Kwak, B. Cho and K. Kim, “Numerical Investigation of Hydroplaning Characteristics of Non-Pneumatic Tires with Detailed Tread Pattern,” KSAE Spring Conference Proceedings, pp.196–197, 2021.
-
H. Cho, C. Lee, K. Kim and D. Kim, “Vibration Characteristics of Non-Pneumatic Tire with Honeycomb Spokes,” Transactions of KSAE, Vol.21, No.4, pp.174–180, 2013.
[https://doi.org/10.7467/KSAE.2013.21.4.174]
- S. Hwang and K. Kim, “Feasibility Study of Non-Pneumatic Tires with Innovative Spoke Structures,” Auto Journal, KSAE, Vol.41, No.10, pp.19–25, 2019.
-
H. Fu, X. Liang, Y. Wang, L. Ku and Z. Xiao, “Thermal Mechanical Coupling Analysis of a Flexible Spoke Non-Pneumatic Tire,” Strojniški Vestnik-Journal of Mechanical Engineering, Vol.68, No.3, pp.143–154, 2022.
[https://doi.org/10.5545/sv-jme.2021.7401]
-
N. Andriya, V. Dutta and V. V. Vani, “Study on 3D Printed Auxetic Structure-Based Non-Pneumatic Tires(NPTs),” Materials and Manufacturing Processes, Vol.37, No.11, pp.1280–1297, 2022.
[https://doi.org/10.1080/10426914.2022.2039692]
-
T. Xu, W. Shen, X. Lin and Y. M. Xie, “Mechanical Properties of Additively Manufactured Thermoplastic Polyurethane(TPU) Material Affected by Various Processing Parameters,” Polymers, Vol.12, No.12, Paper No.3010, 2020.
[https://doi.org/10.3390/polym12123010]
- Y. Song, “Abnormal Tire Wear and Its Causes,” The Tire, No.154, pp.46–48, 1991.
- J. Lee, I. Jang and G. Han, “Optimization of Honeycomb Spoke in Non-Pneumatic Tire,” Proceeding of 6th EDISON Challenge, pp.204–215, 2017.
-
J. Kim, J. Kim, Y. Kim, J. Jeon, K. Kim, S. Hwang, H. Lee and M. Suh, “A Study on the Parameter Optimization of Non-Pneumatic Tires for Reducing Rolling Resistance,” Transactions of KSAE, Vol.30, No.4, pp.287–295, 2022.
[https://doi.org/10.7467/KSAE.2022.30.4.287]
-
K. Lim, S. Kook, G. Kim, H. Ryu, J. Doh and S. Kim, “Design Optimization of Yoke for Calcine Container Considering Strength Condition,” Transactions of KSME-A, Vol.47, No.8, pp.679–686, 2023.
[https://doi.org/10.3795/KSME-A.2023.47.8.679]
- J. Kim, “A Study on the Optimization of Spoke Structures for Reducing Rolling Resistance of Non-Pneumatic Tires,” M.A. Dissertation, Sungkyunkwan University, 2021.
-
J. Doh and J. Lee, “Approximate Multi-Objective Optimization of a Wall-Mounted Monitor Bracket Arm Considering Strength Design Conditions,” Transactions of KSME-A, Vol.39, No.5, pp.535–541, 2015.
[https://doi.org/10.3795/KSME-A.2015.39.5.535]
-
N. Srinivas and K. Deb, “Multiobjective Optimization Using Nondominated Sorting in Genetic Algorithms,” Evolutionary Computation, Vol.2, No.3, pp.221–248, 1994.
[https://doi.org/10.1162/evco.1994.2.3.221]













