
전기히터가 내장된 삼원촉매(EH-TWC)의 가솔린엔진 아이들링 조건 배출가스 저감성능평가
Copyright Ⓒ 2026 KSAE / 244-02
This is an Open-Access article distributed under the terms of the Creative Commons Attribution Non-Commercial License(http://creativecommons.org/licenses/by-nc/3.0) which permits unrestricted non-commercial use, distribution, and reproduction in any medium provided the original work is properly cited.
Abstract
Effective removal of air pollutants emitted during the cold start of gasoline engines is essential to meet new vehicle emission regulations. This study developed a novel electrically heated three-way catalyst(EH TWC) by inserting an electric heater between the substrates of a conventional three-way catalyst, and its performance in reducing CO, THC, CH4, and NOx emissions from cold start to idle operation was evaluated. Measurements confirmed that pre-heating before ignition and post-heating after ignition using the EH TWC could raise the downstream gas temperature to 300–500 °C. With 30 s of pre-heating and 30 seconds of post-heating, CO, THC, CH4, and NOx emissions were reduced by 80 %, 98 %, 75 %, and 100 %, respectively, during the first two minutes of idling after a cold start. Reducing the pre-heating time to 10 s increased CO reduction to as much as 90 % but significantly decreased THC and CH4 reduction rates to 85 % and 5 %, respectively. The results indicate that the optimal pre-heating and post-heating durations vary among different gaseous pollutants, and strategic selection of these parameters is necessary to achieve effective simultaneous reduction of all targeted emissions.
Keywords:
Emissions, Three-way catalyst(TWC), Electrically heated catalyst(EHC), Gasoline engine, Idling키워드:
배출, 삼원촉매, 전기가열촉매, 가솔린엔진, 공회전1. 서 론
산업혁명 이후 인류는 연소를 통해 많은 에너지를 얻어 왔으며, 그로 인해 많은 대기오염물질이 배출되고 인체 건강과 환경에 큰 위협이 되고 있다.1,2) 도로이동오염원은 대기중으로 배출되는 대기오염물질의 주요 원인 중 하나이다.3-5) 미국과 유럽 등 여러 국가들은 도로이동오염원의 대기오염물질 배출을 억제하기 위해 규제를 계속 강화하여 왔다. 미국은 1970년대부터 청정대기법(Clean Air Act)에 따라 환경보호청(Environmental protection agency)이 배출가스를 규제할 권한을 가지고 대기오염물질 배출을 규제해 왔다.6) 특히 미국 캘리포니아주 California Air Resource Board(CARB)는 매우 강한 대기오염물질 배출규제를 시행하고 있으며, 미국의 14개 주(콜로라도, 메인, 매사추세츠 등)는 CARB의 배출가스 규제를 시행하고 있다.7) 미국의 대기오염물질 배출규제 대상이되는 물질은 일산화탄소(Carbon monoxide, CO), 질소산화물(Nitrogen oxide, NOx), 미세먼지(Particulate Matters, PM), 포름알데히트(HCHO), 비메탄 유기가스(Non-Methane Organic Gas, NMOG), 그리고 비메탄 탄화수소(Non-Methane HC, NMHC)가 있다. 유럽에서는 1992년 Euro-1이 시행된 이후 점진적으로 규제가 강화되어 현재는 2024년부터 적용된 Euro-6e를 적용하고 있다.8) 유럽에서 규제하는 배출 오염물질에는 CO, 탄화수소(Total Hydrocarbon, THC), NMHC, 암모니아(NH3), NOx, PM, 그리고 입자 개수(Particle Number, PN) 등이 있다. 그리고 2026년 신차부터 더욱 강화된 Euro-79) 규제가 적용될 예정이다. 강화되는 Euro-7 규제에서는 배출규제 준수기간을 10년 또는 20만 km로 증가시켰으며,10) 배출 규제를 측정하는 환경을 더 다양하게(단거리, 장거리, 극한 온도; -10 ℃, 45 ℃, 고가속 등)평가하며, 배출허용 한계치가 소폭 강화되었다.11,12)
자동차 산업계에서는 이처럼 강해지는 대기오염물질 배출규제를 만족하기 위해 다양한 배기가스 배출저감 방법을 개발해왔다. 그 중에서 후처리장치(After treatment system)는 가장효과적으로 대기오염물질 배출을 저감하는 방법이다. 차량에 사용되는 후처리장치 중에서 삼원촉매(Three Way Catalyst, TWC)는 가솔린 엔진에서 발생되는 CO, HC, 그리고 NOx를 동시에 저감하는 기술이다.13-15) TWC는 촉매 작용으로 CO와 HC를 이산화탄소(Carbon Dioxide, CO2)와 물(H2O)로 산화시켜 제거하며, 반대로 NOx를 질소(N2)와 산소(O2)로 환원하여 제거한다.16) 촉매로는 주로 백금(Pt), 팔라듐(Pd), 로듐(Rh)등의 귀금속이 사용되며, 주로 이론 공연비에서 효율이 좋으며,17) 약 300 ℃에서 촉매가 활성화되어 배출가스를 저감한다.18,19)
차기 Euro-7 배출허용기준을 대응을 위해서는 기존 내연기관의 배기가스 후처리 장치의 개선이 필요하다.14) 특히, Euro-7 기준에서는 낮은 배기 온도에서도 안정적인 오염물질 전환과 N2O, NH3같은 2차 배출을 줄이도록 요구한다.10,20) 기존의 TWC는 엔진의 배기열을 이용하여 촉매 활성화 온도에 도달하기 때문에 초기 시동 시에는 촉매온도가 낮아서 CO, THC, NOx를 저감하지 못하였다.21) 그래서 대부분의 대기오염물질은 시동 초기 냉시동 구간에서 배출된다.22,23) 그러나 강화되는 배출규제는 이러한 초기 시동 시에 배출되는 대기오염물질을 더욱 저감할 것을 요구한다. 기존 연구에서는 이러한 초기 시동에서의 대기오염물질 배출을 저감하기 위해 다양한 기술들을 개발해 왔다.24) 이 중에서 전기히팅 촉매(Electrically Heated Catalyst, EHC)는 엔진작동과 무관하게 열을 촉매에 공급할 수 있어 냉간 시동 배출을 줄이는데 매우 효과적인 방법으로 많이 연구되어 왔다.25) 특히, EHC는 가열에 많은 전기를 필요로 하므로 특히 하이브리드 자동차(Hybrid Electric Vehicles, HEVs)에 적용할 때 매우 유용할 수 있다.26) 자동차용 가솔린엔진에 적용되는 EHC의 배출가스 저감 성능을 연구한 사례는 다수 존재한다.27-29) Maus 등30)은 EHC를 적용하여 TWC의 활성화 시간(Light-off time)을 60초에서 15초로 줄일 수 있었다. Demuynck 등31)은 EHC를 적용하여, 촉매 활성화 시간을 단축시켰다. 그 결과 영하 10 ℃에서 각각 약 50 %, 80 %의 NOx와 HC 배출을 저감할 수 있었다. Gao 등25)은 EHC를 활용하여 CO와 HC 배출을 냉간 시동 시 최소 50 % 감소시킬 수 있었다. Ramanathan 등32)은 두 개의 EHC를 이용하여 냉간 시동 시 촉매 활성화 온도 도달과 유지를 달성하였다. 하지만 EHC가 TWC로부터 일정거리 떨어져 있기 때문에 냉간 시동 시에 에너지 손실이 컸다. Gonze 등33)에서는 1 kW를 가했을 때 150초내로 촉매 온도가 200 oC에 도달하였다고 한다. 이렇듯 많은 논문에서 수 kW의 에너지로 EHC를 가열하여 초기 시동 시 TWC를 활성화 온도로 가열하려 하지만, 너무 많은 에너지가 필요하거나 Pre-heating 시간이 너무 길어진다는 단점이 있다. 그러므로 에너지 효율적으로 EHC를 가열하여 촉매활성화 온도에 도달하는 시간과 에너지 소모량을 줄이는 것이 중요하다.34-36)
본 연구에서는 HEVs(Hybrid Electric Vehicles)에 적용할 수 있는 새로운 방식의 EHC를 제안하고, 이를 평가하였다. EHC의 효율을 높이기 위해서 전기히터(Electric Heater, EH)를 TWC의 중간에 삽입하였으며, 이를 EH-TWC (Electrically Heated Three Way Catalyst)라고 명명하였다. 엔진 셀에서 가솔린 직접분사 엔진의 초기 시동부터 공회전(Idling) 상태에서 배출되는 배기가스를 측정하였으며, EH-TWC를 부착 후에 배기가스가 저감되는 양을 측정하였다. Pre-heating 및 Post-heating 시간을 조절하여 최적의 가열 전략을 탐색하였다.
2. Material and Methods
2.1 Configuration of electrically heated three-way catalyst(EH-TWC)
EHC의 전기히터는 금속 재질이므로 전기히터 표면에 직접 촉매를 코팅하는 것은 재료적 한계 때문에 어렵다.37) 그러므로 일반적으로 EHC는 TWC 앞 단에 설치되어 EHC에서 발생한 열이 TWC로 전달되도록 한다. 하지만 EHC와 TWC가 서로 떨어져 있기 때문에 열전달 측면에서 비효율적이며,34) EHC의 열을 TWC로 더 잘 전달하기위해 Blower 등을 이용해서 배기관 내에 강제로 유동을 발생시키기도 한다.31) 하지만 이는 또다른 장치를 부착하는 것이기 때문에 공간과 에너지효율 측면에서 바람직한 방법은 아니다. 본 연구에서는 이러한 단점을 극복하기 위해서 Fig. 1과 같이 TWC 중간에 전기히터를 삽입하는 방법에 대해 연구하였다. 일반적인 전기히터를 Fig. 1과 같이 TWC 중간에 삽입하면 TWC 담체 셀의 유로를 막기 때문에 배기가스가 TWC를 통과할 수 없다. 하지만 본 연구에서 개발한 전기히터는 Fig. 1과 같이 지그재그로 구성되어 공기 통과 면적을 확보하였을 뿐만 아니라, 히터 표면도 작은 크기의 다공으로 이루어졌기 때문에 배기가스가 효과적으로 전기히터와 TWC 담체 셀을 통과할 수 있다. 이와 같이 전기히터를 TWC 중간에 삽입하여 전기히터에서 발생한 열이 직접적으로 촉매에 전달될 수 있도록 하여 촉매 활성화 시간을 줄이고 가열 시간을 줄이고자 하였다.
이 연구에서 개발된 EH-TWC는 전단과 후단이 나누어져 구성된다. 이는 전단에 더 많은 양의 촉매를 코팅하여 시동 직후 활성화 온도 도달 시 초기 배출가스 저감 성능을 최대한 끌어올리기 위해서다. 전단과 후단에는 각각 13.0, 4.0 g/L의 귀금속(Pt, Pd, Rh)이 포함된 와시코트(Washcoat)가 코팅되었다. TWC는 상용으로 쓰이는 코디어라이트(Cordierite) 담체를 사용하였다. 담체의 셀밀도는 600 cpsi였으며, 지름은 105 mm였다. TWC는 5 mm 두께로 절단하고, 그 사이에 다공성 전기히터를 삽입하였다. 제일 앞 단과 뒷 단의 TWC는 배압으로 인한 파손을 방지하기 위해 보다 두꺼운 두께를 갖는다. 전체 EH-TWC의 길이는 110 mm였으며, 부피는 1 L다. EH-TWC에는 전단과 후단에 각각 5개와 8개의 전기히터가 삽입되었다. Fig. 1과 같이 분할된 TWC 사이마다 전기히터를 삽입한 후, 전극을 용접하여 연결하였다. 이후에 Fig. 1처럼 완성된 EH-TWC를 캐닝하여 최종 시험품을 완성하였다. 삽입된 전기히터의 개당 저항은 6.5 Ω이며, 전단과 후단의 합성저항은 각각 1.3, 0.8 Ω이었다. 하이브리드의 배터리 전압인 48 V를 기준으로 최대 통과 전류가 전단과 후단에서 각각 37 A와 60 A가 흐르도록 설계되었다.
2.2 EH-TWC evaluation experiment set-up
EH-TWC의 배압을 평가하기 위해서 Fig. 2와 같이 블로워를 이용하여 차압을 측정하였다. 공기유량을 인버터로 조절하여 50-200 kg/h의 유량이 흐를 때 EH-TWC의 앞뒤 게이지 압력을 측정하였다. 비교를 위해서 정기히터가 삽입되지 않은 일반 상용 TWC의 배압 성능도 측정하였다.
EH-TWC의 실제 대기오염물질 배출 저감 효과를 평가하기 위해서 Fig. 3과 같이 엔진의 배기구에 EH-TWC를 설치하였다. 사용된 엔진은 가솔린을 연료로 사용하는 자연흡기방식 1.61 L 엔진이었다. 배기가스의 온도를 측정하기 위해 열전대를 엔진 출구와 배기관 끝단에 설치하여 전단온도(Tup)와 후단온도(Tdown)을 측정하였다. 또한 EH-TWC의 전기히터 가열에 인한 주변 공기 온도를 측정하기 위해 EH-TWC 전단온도(THE-TWC-u)와 후단온도(THE-TWC-d)를 측정하였다. THE-TWC-u와 THE-TWC-d는 EH-TWC가 설치되지 않은 Case1 실험에서는 측정하지 않았다. EH-TWC의 대기오염물질 배출 저감을 측정하기 위해서 EH-TWC가 배기구에 부착되어 있을 때와 없을 때를 각각 측정한 후 비교하였다. Gas analyzer(AVL AMA i60 SII, AVL, Austria)를 사용하여 배기가스에 포함된 대상 물질의 농도를 측정하였다. THC, CH4, NOx, NO, CO, 그리고 O2가스가 1초 주기로 측정되었다. Fig. 3와 같이 EH-TWC 후단에 Sampling probe를 삽입하였으며, Heated sampling system (AVL HSS i60, AVL, Austria)을 이용하여 가스를 샘플링하고, gas analyzer로 이송하였다.
EH-TWC 사용 목적은 엔진이 가열되기 전 미리 촉매를 활성화 온도에 도달하게 하여 초기 시동 시 대기오염 물질 배출을 저감하는데 있다. 따라서 초기 낮은 온도의 엔진 시동 순간부터 시작하여 공회전으로 운전되는 2분간 시험되었다. 하나의 시험이 끝난 이후에는 다음 시험까지 약 60분간 배기관 상류 온도(Tup)와 EH-TWC 후단 온도(THE-TWC-d)를 각각 35, 30 ℃ 이하로 낮추기를 기다렸다. 이는 모든 시험 Case를 동일한 엔진 온도 조건에서 시작하기 위해서다.
EH-TWC의 Pre-heating 시간(엔진 시동 전 전기히터 작동 시간), Post-heating 시간(엔진 시동 후 전기히터 작동 시간), 소모 전력을 변수로 하여 표 1과 같은 9개의 시험 Case에 대해서 시험하였다. Case 1은 아무것도 설치되지 않은 경우이며, Case 2-9는 EH-TWC가 설치된 경우이다. Case 2는 전기히터를 작동하지 않은 경우이며, Case 3-9는 전기히터를 작동시킨 경우이다. Case 3-5는 Pre-heating과 Post-heating 시간을 각각 10, 20, 30초로 증가시킨 경우를 비교한 것이다. Case 3, 6, 7은 Post-heating시간을 10초로 고정하고, Pre-heating 시간을 10, 20, 30초로 증가시킨 영향을 비교하였다. Case 8은 Case 5와 같은 Heating 시간을 가질 때, Post-heating과 Pre-heating의 비율에 따른 영향을 살펴본 것이다. 마지막으로 Case 9은 Case 3-8의 절반의 전압을 사용하여도 같은 전력을 공급하면 저감효과가 같은지 살펴보기 위해 시험되었다. 각 Case당 3회 실험을 진행하였다. EH-TWC에는 최대 4.8 kW 전력이 공급하였다. 표1에서 보이듯, 최대 전기히터 총 소모 시간은 60초였으므로, 최대 사용 전력은 0.08 kWh였다. 일반적인 하이브리드 차량의 배터리 용량은 1-2 kWh로,38) 8 % 이하의 전력을 사용하므로 적용 가능한 수치로 보인다.
3. Results and Discussion
Fig. 4는 EH-TWC의 배압 측정결과이다. 비록 전기히터를 타공하여 배기가스가 지나갈 수 있는 통로를 만들어주었지만, 일정 부분 유로가 막히는 부분이 존재한다. 그래서 Fig. 4에 나타나듯, 전기히터가 없는 TWC보다 같은 유량에서 차압이 높게 나타났다. 하지만 전체 차압수준이 200 kg/h 유량에서 30 mbar로 매우 낮은 수준이므로 실제 엔진에 사용하기에는 문제가 없었으며, 연비 악화 및 엔진 연소에 미치는 영향은 추후 검토가 필요해 보인다.
Fig. 5는 배기관의 전단온도 (Tup)와 후단온도 (Tdown)의 변화를 나타낸다. 그래프에서 00:00시간은 엔진 시동 시간을 의미한다. Fig. 5(a)에 나타나듯, 모든 Case에서 전단온도와 그 변화는 유사하였다. 전단온도 센서는 엔진 배기매니폴드 근처에 설치되었으므로 모든 Case에서 전단온도의 시간변화가 동일하였다는 것은 모든 Case에서 동일한 엔진 연소조건이 이루어졌음을 의미한다. 전단온도는 시동 전에 30 ℃에서 시동 직후 빠르게 상승하여 25초에 240-255 ℃까지 상승하였다. 이후 서서히 감소하여 170 ℃에 수렴하였다. 이는 처음 엔진을 시동할 때 엔진 온도를 높이기 위해서 낮은 공연비로 많은 연료를 태운 것이며, 25초 이후에는 이론 공연비로 접근하면서 배기 가스 온도가 낮아진 것이다. 후단온도는 전단온도보다 매우 낮다. 이는 후단온도 센서가 엔진으로부터 3 m 이상 떨어져 있었기 때문에 배출가스가 흐르는 동안 공기 중으로 열을 빼앗기 때문이다. EH-TWC가 설치되지 않은 Case 1에서의 후단온도 상승이 EH-TWC가 설치되었지만 전기히터를 가동하지 않은 Case 2보다 높았다. 이는 EH-TWC가 엔진 배기열을 흡수하는 매개체로 작용하였기 때문이다. EH-TWC의 전기히터가 작동하는 Case들에서는 모두 엔진 시동 후 후단온도가 크게 증가하였다. 특기할 만한 점은 EH-TWC 가열에 사용된 에너지에 비례하여 후단온도가 상승하였다는 점이다. 2분이 지난 시점에서의 온도를 기준으로 보면, 전기히터가 60초 동안 작동된 Case 5과 Case 8의 후단온도가 65 ℃로 가장 높았으며, 전기히터가 40초 동안 작동된 Case 4과 Case 7이 59 ℃이었다. 전기히터를 30초 사용한 Case 6과 50 % 파워로 60초사용한 Case 9가 후단온도 54 ℃로 동일하였으며, 전기히터 사용이 20초로 가장 작은 Case 3가 51 ℃로 가장 낮았다.
Exhaust (a) upstream (Tup) and (b) downstream (Tdown) temperature with respect to time for nine experimental cases
EH-TWC 근처의 전단온도(THE-TWC-u)와 후단온도(THE-TWC-d)변화는 다른 경향을 보여준다. Fig. 6(a)에서 알 수 있듯이 THE-TWC-u는 엔진 시동 후에 25초까지는 동일하게 온도가 상승하며, 최종온도는 101-107 ℃로 비슷하게 수렴하였다. 단, Case 8은 1분전부터 EH-TWC를 가열하는 상태이기 때문에 열확산에 의한 영향으로 시동 전 온도가 다른 Case들보다 높은 상태였다. 공연비가 낮은 구간이 끝난 후에는 EH-TWC의 가열에 사용된 에너지에 반비례하여 THE-TWC-u 온도가 높게 나타났다. 즉, 가열하지 않은 Case 2의 온도가 가장 높았으며, 가열을 오래한 Case 8의 온도가 낮았다. 그 이유가 무엇일까? 반대로 THE-TWC-d 온도는 Fig. 6(b)에 나타나듯, 가열시간이 길수록 초기 온도 상승이 높았다. 단, Case 5와 Case 8, 그리고 Case 4와 Case 7에서 알 수 있듯이, 총 가열시간이 같더라도 Pre-heating 시간이 긴 쪽이 초반 1분 동안 온도상승은 높았으나, 2분 온도는 Post-heating 시간이 긴 쪽의 온도가 더 높았다. 이는 Post-heating 시간이 긴 경우 엔진 시동 후 오랜 시간 동안 열이 공급되어 잔열이 존재하는 영향으로 추정된다. THE-TWC-d는 EH-TWC 담체 온도의 영향을 더 직접적으로 받아서 Fig. 6(b)처럼 Pre-heating과 Post-heating 시간 분배에 따라 영향을 크게 받았지만, 배기관 후단온도 Tdown은 Fig. 5(b)처럼 EH-TWC로부터 멀리 떨어져 있었기 때문에 그러한 영향을 덜 받았다.
각 Case에서 엔진 시동 후 2분간의 TWC 후단에서 측정한 가스 농도 변화가 Figs. 7~9에 나타나 있다. Fig. 7(a)의 산소농도는 모든 Case에서 엔진 시동 직후 20 %에서 0 %로 급격히 감소하였다. 이는 엔진 연소에 산소가 사용되면서 줄어든 것이다. 초기 10초까지는 모든 Case에서 같은 비율로 산소농도가 감소하였다. 그러나 10초 이후에 EH-TWC로 가열하는 Case 3-9에서는 산소농도가 거의 0 %로 로 유지된 반면, EH-TWC가 가열되지 않은 Case 2와 EH-TWC가 부착되지 않은 Case 1에서는 산소농도가 2 % 내외로 존재한다. 엔진 시동 40초 이후 이론공연비로 공회전을 하면서 잔여 산소농도는 Case 1과 Case 2에서 각각 1 %, 0.4 %로 계속 측정되었다. 한편 공회전 구간에서 Case 1이 Case 2보다 산소 농도가 높은 것은 Case 2에 부착된 EH-TWC가 잔여 산소를 배기가스와 반응시키는데 일부 사용되었기 때문으로 보인다. 그러므로 Case 2의 CO, NOx 등이 Case 1에 비해 낮게 측정되는 것을 Figs. 7~9에서 알 수 있다.
Fig. 7(b)에서 CO 농도는 시동 직후 초기 5초 동안 모든 Case에서 동일한 비율로 약 4,500 ppm까지 상승한다. 5-10초 동안은 Pre-heating을 30초 이상 한 Case 5, 7, 8은 더 이상 상승하지 않았으며, 다른 Case들은 최대 18,000 ppm까지 더 상승하였다. 이후 10-30초에서는 EH-TWC를 가열한 Case 3-9는 CO 농도가 감소한 반면, EH-TWC를 설치하지 않거나 가열하지 않은 Case 1,2는 높은 CO농도가 유지되었다. Case 1은 TWC가 없기 때문이며, Case 2는 촉매 활성화 온도에 아직 도달하지 못하였기 때문이다. 5-10초 구간과 다르게, 10-30초 구간에서는 오히려 가열을 오래한 Case의 CO 농도가 덜 감소하였으며, Pre-heating과 Post-heating을 각 10초만 수행한 Case 3의 CO농도가 가장 크게 감소하였다. 이후 공회전 구간에서도 해당 경향은 유사하게 유지되었다. 이는 높은 온도에서 촉매의 반응이 CO보다 다른 물질 변환을 우선시하거나 촉매 내 흡장되어 있는 산소의 양에 영향을 받는 것으로 추측된다.
Fig. 8은 시간에 따른 THC와 CH4의 변화를 나타낸다. THC와 CH4는 가열시간이 긴 Case일수록 농도가 낮게 나타났다. Fig. 8(a)의 THC는 CO와 유사하게 모든 Case에서 시동 직후 급격히 농도가 상승하였다. 단 최대 농도는 Pre-heating 시간이 긴 순서대로 낮게 나타났다. 가열이 없거나 EH-TWC가 없었던 Case 1, 2는 최고 THC 농도 값이 비슷하였으며, Pre-heating 시간이 10, 20, 30초로 늘어날수록 case3-5와 같이 최고 THC농도가 낮아졌다. Pre-heating 시간이 같은 Case 4, 6과 Case 5, 7은 최고 THC 농도가 비슷하게 나타났다. Pre-heating 시간은 다르지만 같은 전력이 소모된 Case 4, 6, 9도 최고 THC 농도가 비슷하였다. 가장 Pre-heating 시간이 길었던 Case 8은 THC 최고 농도가 240 ppm으로 가장 낮게 나타났다. 초기 5초의 급격한 THC 농도 상승 후, 모든 Case의 THC농도는 서서히 감소하였다. 단 Case 1, 2는 10초 이후 다시 THC 농도가 상승하였다. Case 2는 촉매가 활성화 온도에 도달하지 못하여 Case 1과 같은 THC 농도 변화를 보여주었다. 공회전 구간에 들어가는 40초 이후에서야 Case 2의 촉매가 활성화 온도에 진입하여 THC농도가 서서히 감소하였다. EH-TWC를 가열한 Case 3-9에서는 25초에 공연비가 바뀌면서 THC가 한 번 다시 크게 증가하였다가 감소하였으며, 40초 이후에는 다시 THC 농도가 증가하였다. 40초 이후의 THC 농도는 Post-heating 시간에 영향을 받았다. Post-heating 시간이 30초로 가장 길었던 Case 5의 농도가 가장 낮았으며, Post-heating 시간이 10초로 가장 짧았던 Case 3의 농도가 가장 높았다. Post-heating이 없었던 Case 8은 Post-heating 시간이 10초였던 Case 6과 같은 THC 농도를 가졌다. Case 6과 같은 전력으로 Post-heating을 수행한 Case 9 역시 같은 THC 농도를 보여주었다. 그러므로 같은 전력을 Post-heating이나 Pre-heating에 사용할 경우 비슷한 배기가스 점감율을 달성할 수 있는 것으로 추측된다. Post-heating 시간이 10초로 같았던 Case 3, 6, 7의 경우 Pre-heating 시간이 긴 순서대로 THC의 농도가 낮게 나타났다. 정리하면 공회전 구간의 THC 농도는 Post-heating 시간(전력)에 크게 영향을 받으며, 같은 Post-heating 시간을 가질 경우, Pre-heating의 크기에 따라 THC 농도가 낮아졌다. Case에 따른 CH4의 농도 변화는 THC와 유사한 경향을 보이나, THC보다 더 저감율이 낮은 것으로 측정되었다. Fig. 8(b)에 나타나듯, Pre-heating 시간이 60초로 가장 길었던 Case 8만 시동 후 초기 5초 구간에서 CH4 피크가 크게 낮아졌으며, Pre-heating 시간이 30초 이하인 Case들은 CH4 배출저감이 미미하였다. 또한 5-40초 구간이나 공회전 구간에서 Case별 농도 레벨도 THC와 비슷하게 나타났으나, THC보다 저감율이 낮았다. 심지어 공회전 구간에서는 Post-heating이 20, 30초인 Case 4, 5만 2분에 CH4가 농도가 Case 1보다 낮았으며, 다른 Case들은 Case 1과 거의 비슷한 농도까지 상승되는 것이 관측되었다.
Fig. 9는 NOx 및 NO의 Case별 농도변화가 나타낸다. 모든 Case와 시간에서 NOx와 NO의 농도는 거의 같았으며, 이는 배출되는 NOx 대부분은 NO임을 의미한다. NOx와 NO도 다른 가스들과 마찬가지로 시동 직후 5초 동안 농도가 급격하게 상승하였다. EH-TWC가 부착되지 않은 Case 1의 경우 25초까지 NOx 및 NO가 최대 230 ppm까지 상승하다가 공연비가 증가할 때 55 ppm 레벨까지 감소하였다. 이후 공회전 구간에 접어들면서 55 ppm의 농도가 유지되어 배출되었다. EH-TWC를 부착하기만 하고 가열하지 않은 Case 2의 경우 초기 5초의 NOx 및 NO의 농도상승도 Case 1보다 낮았을 뿐만 아니라, 공회전 구간의 농도도 5 ppm 전후로 Case 1의 1/10 이하 수준이었다. 이는 EH-TWC의 촉매가 Pre-heating이나 Post-heating 없이도 NO나 NOx 저감이 가능함을 보여주는 것이다. 하지만 EH-TWC를 가열하면 더 높은 NOx 및 NO 저감을 가져올 수 있었다. 공회전 구간에서 EH-TWC를 가열한 Case 3-9는 0.1 ppm 이하로 NO나 NOx 배출이 거의 이루어지지 않음을 알 수 있다. 초기 시동 직후 5초 구간에서는 Pre-heating이 30초였던 Case 5, 7이 가장 낮은 NO, NOx 농도 상승을 보여주었다. Pre-heating 시간이 60초로 길었던 Case 8은 시동 직후 5초내 20 ppm까지 증가하며 오히려 더 높은 NO, NOx 배출을 보여주었다. 이는 오히려 촉매의 온도가 너무 높아져 NO, NOx가 촉매에서 탈착 된 것으로 추측된다. Pre-heating 시간이 10초로 짧은 Case 3 또한 5초내 NO, NOx 농도가 10 ppm으로 높았다. 따라서 초기 시동 시 NO, NOx 농도 배출을 저감하기 위해서는 30초 정도의 Pre-heating이 최적인 것으로 보인다.
Figs. 7~9에 나타나듯, 배기가스의 농도는 시동 직전, 시동 후 30초, 이후 공회전 기간에서 각각 다른 경향을 가진다. 따라서 EH-TWC의 배기가스 저감효율을 3개 구역으로 나누어서 분석하였다. 시동 후 2분 동안의 시험시간을 가장 배기가스 농도가 높았던 시동 직후 10초를 A구역, 시동 후 10초부터 40초까지 연료가 농후하게 분사된 B구역, 그리고 이론공연비로 공회전이 진행된 40초부터 2분까지의 C구역으로 나누었다. 각 구역에 따른 배기가스 배출량 평균이 Fig. 10에 나타나 있다. 앞서 실시간농도 그래프로 보았던 경향이 더 잘 나타나 있다. CO는 A구역에서 Pre-heating이 30초가 넘은 Case 5, 7, 8만 배출농도가 낮았다. B구역에서는 오히려 Pre-heating이 가장 짧은 Case 3이 가장 농도가 낮았으며, Post-heating이 10초인 Case 3, 6, 7이 낮은 농도를 보여주었다. 구역 C에서도 구역 B와 같으면서 더 낮은 농도를 보여주었다. 극 초기의 CO 배출을 줄이기 위해서는 30초 이상의 Pre-heating이 필요하지만, 전체 Heating 시간이 30-40초를 넘어가면 오히려 공회전에서 CO 배출은 증가한다. THC와 CH4는 Pre-heating이 길수록 A구역 농도가 낮았다. Post-heating 구간이 긴 Case 5가 THC와 CH4의 B와 C구역 농도가 낮게 나타났다. 극 초기의 THC와 CH4의 배출을 줄이기 위해서는 Pre-heating 시간이 길수록 좋지만, 전체적인 THC와 CH4 배출을 줄이기 위해서는 Post-heating이 중요하다고 할 수 있다. NOx의 경우 Pre-heating 시간이 길어질수록 A구역의 농도가 감소하였다. 단, 60초까지 Pre-heating한 Case 8은 오히려 NOx 농도가 증가하였다. 이후 B구역과 C구역에서는 Pre-heating을 사용한 모든 Case에서 거의 같은 NOx 배출농도를 보여주었다.
(a) CO, (b) THC, (c) CH4, and (d) NOx average concentration for A (0 to 10 sec.), B (10 to 40 sec.), C (40 to 120 sec.), and total (0 to 120 sec.) region for each case
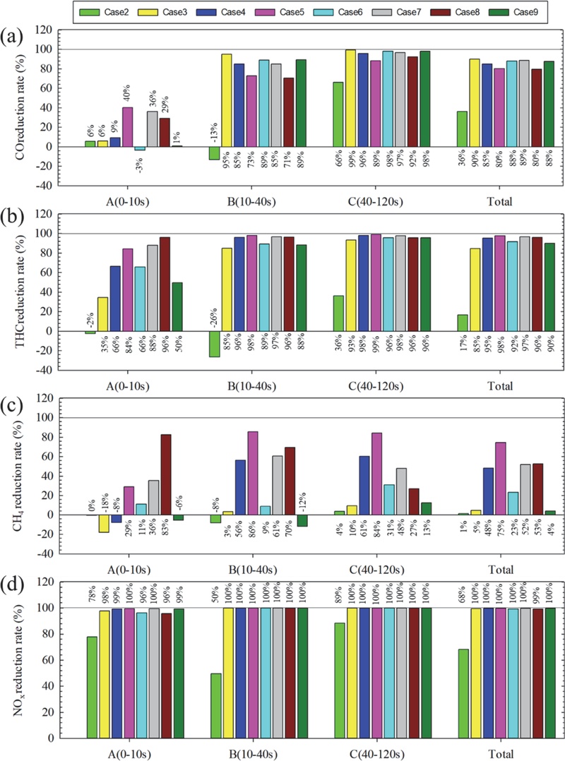
Fig. 10을 바탕으로 계산한 Case별 저감효율이 Fig. 11에 나타나 있다. Heating을 하지 않은 Case 2를 제외하고, CO의 저감율은 Pre-heating과 Post-heating을 각 10초씩 수행한 Case 3에서 90 %로 가장 높았으며, Heating 시간이 60초였던 Case 5, 8이 80 %로 가장 낮았다. THC 저감율은 Pre-heating과 Post-heating을 각 30초씩 수행한 Case 5에서 98 %로 가장 높았으며, Pre-heating과 Post-heating을 각 10초씩 수행한 Case 1이 85 %로 가장 낮았다. CH4 저감율은 THC와 마찬가지로 Case 5가 75 %로 저감율이 가장 높았으며, Case 3와 Case 9이 각각 5, 4 %로 가장 낮게 나타났다. 특히 Case 9은 같은 전력을 사용하였던 Case 6과 CO나 THC, NOx 저감율은 같게 나타났으나 CH4 저감율은 크게 차이가 났다. 또한 CH4는 Pre-heating 구간이 긴 Case 8이 A구역에서는 가장 저감율이 높았으나, B, C구역에서는 Post-heating 시간이 가장 긴 Case 5가 가장 저감율이 높았다. 그러므로 CH4 저감을 위해서는 강한 전력을 집중시켜 시동 전후 긴 시간 공급할 필요가 있다고 할 수 있다. NOx의 저감율은 Heating을 수행한 Case들에서 모두 100 %의 높은 저감율이 나타났다. Pre-heating, Post-heating을 각 10초만 수행하여도 충분히 NOx 배출을 억제할 수 있다.
4. 결 론
가솔린 엔진에서 초기 배출되는 대기오염물질을 제거하기 위해 촉매를 미리 활성화 온도까지 가열시킬 수 있는 EH-TWC를 개발하였고 이를 엔진을 이용하여 시험하였다. 전기히터가 TWC의 촉매로 더 효율적인 열전달을 할 수 있도록 TWC 담체 사이에 전기히터를 끼워 넣는 방식으로 EH-TWC가 설계, 제작되었다. 가솔린 엔진에서 시동 및 공회전 시험 결과, EH-TWC가 전기히터를 통해 시동 전 촉매활성화 온도까지 효율적으로 가열시킬 수 있음을 확인하였다. 이번 연구로부터 얻은 결론은 다음과 같다.
- 1) Pre-heating과 Post-heating 시간에 따라 EH-TWC 후단 온도를 촉매활성화 온도 이상인 300-500 ℃까지 가열할 수 있었다. Pre-heating 시간이 길수록 시동 후 1분까지 EH-TWC 후단 온도가 높았으며, 1분 이후 공회전에서는 Post-heating 시간이 길수록 온도가 높았다.
- 2) EH-TWC를 부착하더라도 Heating을 하지 않으면(Case 2) CO, THC, CH4, NOx의 저감율이 각각 36 %, 17 %, 1 %, 68 %로 나타났다. 특히 시동 후 10초 내(A구역)과 40초 내(B구역)의 저감율은 각각 6 %, -2 %, 0 %, 78 %와 -13 %, -26 %, -8 %, 50 %로 매우 낮게 나타났으며, 이는 촉매가 활성화 온도에 도달하지 못한 결과로 추정된다.
- 3) Pre-heating 시간이 길수록 초기 시동 직후 A구역의 CO 저감율이 높았으나, 공연비가 1로 수렴한 이후(C구역)에는 Pre-heating이 짧은 경우에서 CO 저감율이 가장 높았다. 이는 촉매 온도가 높을수록 CO 저감 반응 대신 다른 반응이 우선시되거나 촉매 내 산소양이 부족하기 때문으로 추정된다.
- 4) THC와 CH4는 Pre-heating 시간이 길수록 초기 저감율이 높았으며, 후기 저감율은 Post-heating 시간이 길수록 높았다. 그러므로 Post-heating과 Pre-heating 시간이 30초씩 분배된 Case 5의 THC, CH4 저감율이 각각 98 %, 75 %로 가장 높게 측정되었다.
- 5) NOx의 저감율은 EH-TWC를 전기가열하지 않아도 68 %로 높게 나타났으며, 10초의 Pre-heating과 Post-heating만 하더라도 거의 100 %에 가까운 NOx 배출을 저감할 수 있었다.
- 6) CO, THC, NOx의 경우 같은 양의 가열에너지를 사용하면 Heating 시간이나 전력이 다르더라도(Case 6, 9) 유사한 저감율을 보여주었으나, CH4의 경우 전력이 높은 경우 더 저감율이 높았다. 그러므로 CH4는 짧은 시간 많은 에너지를 투입하는 경우 저감율이 높은 것으로 추정된다.
CO와 THC, CH4를 저감 시키는 Pre-heating과 Post-heating 시간 전략이 상반된다. Pre-heating 시간이 길어질수록 NOx, CH4, THC의 저감율은 높아졌지만, CO의 저감율은 낮아졌다. 앞으로는 이러한 상반된 원인이 나타나는 이유 파악하고 모든 대기오염물질을 저감할 수 있는 EH-TWC의 구성과 Heating 전략 최적화에 대해서 연구할 필요가 있어 보인다. 또한 실제 차량에 장착하였을 때의 실제 대기오염물질 배출 저감 효과에 대한 평가를 통해 실용성에 대한 검증이 이루어져야 한다.
Nomenclature
| ΔP : | pressure difference, mbar |
| Tup : | exhaust upstream temperature, °C |
| Tdown : | exhaust downstream temperature, °C |
| TEH-TWC-u : | EH-TWC upstream temperature, °C |
| TEH-TWC-d : | EH-TWC downstream temperature, °C |
Acknowledgments
본 연구는 산업통상자원부 한국산업기술평가관리원에서 지원하는 “배기규제 강화대응을 위한 저전압 전기가열방식 후처리시스템 기술개발(과제번호: 20019072)”의 수행 결과이며, 이에 감사드립니다.
References
-
P. Iodice, P. Adamo, F. Capozzi, A. Di Palma, A. Senatore, V. Spagnuolo and S. Giordano, “Air Pollution Monitoring Using Emission Inventories Combined with the Moss Bag Approach,” Science of the Total Environment, Vol.541, pp.1410-1419, 2016.
[https://doi.org/10.1016/j.scitotenv.2015.10.034]
-
Z. Geng, L. Qin, Y. Han and Q. Zhu, “Energy Saving and Prediction Modeling of Petrochemical Industries: A Novel ELM Based on FAHP,” Energy, Vol.122, pp.350-362, 2017.
[https://doi.org/10.1016/j.energy.2017.01.091]
-
F. F. Zhao, “Technologies for Near-Zero-Emission Gasoline-Powered Vehicles,” Warrendale, PA, SAE International, 2007.
[https://doi.org/10.4271/R-359]
-
N. Unger, T. C. Bond, J. S. Wang, D. M. Koch, S. Menon, D. T. Shindell and S. Bauer, “Attribution of Climate Forcing to Economic Sectors,” Proceedings of the National Academy of Sciences of the United States of America, Vol.107, No.8, pp.3382-3387, 2010.
[https://doi.org/10.1073/pnas.0906548107]
-
L. Santos, A. N. Araujo, A. Fachini, A. Pena, C. Delerue-Matos and M. C. B. S. M. Montenegro, “Ecotoxicological Aspects Related to the Presence of Pharmaceuticals in the Aquatic Environment,” Journal of Hazardous Materials, Vol.175, pp.45-95, 2010.
[https://doi.org/10.1016/j.jhazmat.2009.10.100]
-
K. Ross, J. F. Chmiel and T. Ferkol, “The Impact of the Clean Air Act,” The Journal of Pediatrics, Vol.151, No.5, pp.781-786, 2012.
[https://doi.org/10.1016/j.jpeds.2012.06.064]
-
J. Lim and D. H. Won, “Impact of CARB’s Tailpipe Emission Standard Policy on CO2 Reduction among the U.S. States,” Sustainability, Vol.11, Paper No.1202, 2019.
[https://doi.org/10.3390/su11041202]
- J. Dornoff, “Euro 6e: Changes to the European Union Light-Duty Vehicle Type-Approval Procedure,” The International Council on Clean Transportation, 2022.12.19.
-
V. Muller, H. Pieta, J. Schaub, M. Ehrly and T. Korfer, “On-Board Monitoring to Meet Upcoming EU-7 Emission Standards: Squaring the Circle between Effectiveness and Robust Realization,” Transportation Engineering, Vol.10, Paper No.100138, 2022.
[https://doi.org/10.1016/j.treng.2022.100138]
- J. Dornoff and F. Rodriguez, “Euro 7: The New Emission Standard for Light- and Heavy-Duty Vehicles in the European Union,” The International Council on Clean Transportation, 2024.03.13.
- L. Allan, Euro 7 Emissions Standard: What Is It and Does It Come into Effect?, RAC, https://www.rac.co.uk/drive/advice/emissions/what-is-euro-7-and-when-does-it-start/, , 2025. (Accessed on 2025).
-
S. S. Ravi, S. Osipov and J. W. G. Turner, “Impact of Modern Vehicular Technologies and Emission Regulations on Improving Global Air Quality,” Atmosphere, Vol.14, Paper No.1164, 2023.
[https://doi.org/10.3390/atmos14071164]
-
E. P. Brandt, Y. Wang and J. W. Grizzle, “Dynamic Modeling of a Three-Way Catalyst for SI Engine Exhaust Emission Control,” IEEE Transactions on Control Systems Technology, Vol.8, No.5, pp.767-776, 2000.
[https://doi.org/10.1109/87.865850]
-
D. Hodonj, M. Borchers, L. Zeh, G. T. Hoang, S. Tischer, P. Lott and O. Deutschmann, “Impact of Operation Parameters and Lambda Input Signal during Lambda-Dithering of Three-Way Catalyst for Low-Temperature Performance Enhancement,” Applied Catalysis B: Environmental and Energy, Vol.345, Paper No.123657, 2024.
[https://doi.org/10.1016/j.apcatb.2023.123657]
-
D. Hodonj, K. Umemoto, M. Terasawa, Z. Yu, U. Wagner, T. Mori, H. Nishioka, T. Mishima, O. Deutschmann, T. Koch, J. Kusaka and P. Lott, “Periodic Operation of Three-Way Catalysts: From Synthetic Gas Bench Testing to Real-World Engine Performance,” Industrial and Engineering Chemistry Research, Vol.64, pp.8143-8155, 2025.
[https://doi.org/10.1021/acs.iecr.5c00132]
-
L. P. Ma, H. J. Bart, P. Ning, A. Zhang, G. Wu and Z. Zengzang, “Kinetic Study of Three-Way Catalyst of Automotive Exhaust Gas: Modeling and Application,” Chemical Engineering Journal, Vol.155, pp.241-247, 2009.
[https://doi.org/10.1016/j.cej.2009.07.045]
-
C. Guardiola, H. Climent, B. Pla and M. Real, “Control-Oriented Modeling of Three-Way Catalyst for Fuel-to-Air Ratio Regulation in Spark-Ignited Engines,” Proceedings of the Institution of Mechanical Engineers, Part D: Journal of Automobile Engineering, Vol.233, No.14, pp.3758-3774, 2019.
[https://doi.org/10.1177/0954407019833822]
-
S. Rood, S. Eslava, A. Manigrasso and C. Bannister, “Recent Advances in Gasoline Three-Way Catalyst Formulation: A Review,” Proceedings of the Institution of Mechanical Engineers, Part D: Journal of Automobile Engineering, Vol.234, No.4, pp.936-949, 2020.
[https://doi.org/10.1177/0954407019859822]
-
G. Mahadevan and S. Subramanian, “Experimental Investigation of Cold Start Emission Using Dynamic Investigation of Cold Start Emission Using Dynamic Catalytic Converter with Pre-Catalyst and Hot Air Injector on a Multi-Cylinder Spark Ignition Engine,” SAE 2017-01-2367, 2017.
[https://doi.org/10.4271/2017-01-2367]
-
R. Gioria, T. Selleri, B. Giechaskiel, J. Franzetti, C. Ferrarese, A. Melas, F. Forloni, R. Suarez-Bertoa and A. Perujo, “Regulated and Unregulated Emissions from Euro VI Diesel and CNG Heavy-Duty Vehicles,” Transportation Research Part D: Transport and Environment, Vol.134, Paper No.104349, 2024.
[https://doi.org/10.1016/j.trd.2024.104349]
-
V. Schmeisser, M. Weibel, L. S. Hernando, I. Nova, E. Tronconi and M. P. Ruggeri, “Cold Start Effect Phenomena over Zeolite SCR Catalysts for Exhaust Gas Aftertreatment,” SAE 2013-01-1064, 2013.
[https://doi.org/10.4271/2013-01-1064]
-
R. N. Carter, P. Menacherry, W. C. Pfefferle, G. Muench and S. Roychoudhury, “Laboratory Evaluation of Ultra-Short Metal Monolith Catalyst,” SAE 980672, 1998.
[https://doi.org/10.4271/980672]
-
N. A. Henein, M. K. Tagomori, M. K. Yassine, T. W. Asmus, C. P. Thomas and P. G. Hartman, “Cycle-by-Cycle Analysis of HC Emissions during Cold Start of Gasoline Engines,” SAE Transactions, Vol.104, No.4, pp.1152-1170, 1995.
[https://doi.org/10.4271/952402]
-
D. Han, J. E, Y. Deng, J. Chen, E. Leng, G. Liao, X. Zhao, C. Feng and F. Zhang, “A Review of Studies Using Hydrocarbon Adsorption Material for Reducing Hydrocarbon Emissions from Cold Start of Gasoline Engine,” Renewable and Sustainable Energy Reviews, Vol.135, Paper No.110079, 2021.
[https://doi.org/10.1016/j.rser.2020.110079]
-
J. Gao, G. Tian and A. Sorniotti, “On the Emission Reduction through the Application of an Electrically Heated Catalyst to a Diesel Vehicle,” Energy Science and Engineering, Vol.7, pp.2383-2397, 2019.
[https://doi.org/10.1002/ese3.416]
- T. Knorr, D. Ellmer, O. Maiwald, A. Schatz and R. Bruck, “The Electric Heatable Catalyst: An Efficient Measure for Emission Optimization in Mild Hybrid Vehicle Operation Strategies,” 24th Aachen Colloquium Automobile and Engine Technology, pp.1-22, 2015.
-
S. H. Woo, H. Jang, K. Noh, M. Lee, S. Kim and H. Kim, “Reduction of WLTC Emissions of Hybrid Gasoline Engine by Using an Electric Heater Embedded Three-Way Catalyst Coated Particulate Filter,” Transactions of KSAE, Vol.32, No.2, pp.159-166, 2024.
[https://doi.org/10.7467/KSAE.2024.32.2.159]
- J. Lee, S. Lee, K. Lee, G. Kim and K. Oh, “Cold Start Emissions Reduction Characteristics in Gasoline Engines According to Application of Secondary Air Injection and Electrical Heating Catalysts,” KSAE Spring Conference Proceedings, pp.128-129, 2024.
- J. Lee, J. Bae, K. Lee, G. Kim, K. Lee and K. Oh, “Cold Start Emission Reduction Characteristics in Gasoline Engines According to Application of Secondary Air Injection and Electrical Heating Catalyst,” KSAE Annual Conference Proceedings, pp.211-212, 2024.
-
W. Maus, R. Bruck, R. Konieczny and A. Scheeder, “Electrically Heated Catalyst for Thermal Management in Modern Vehicle Applications,” MTZ Worldwide., Vol.71, pp.34-39, 2010.
[https://doi.org/10.1007/BF03227013]
- J. Demuynck, P. M. Villafuerte, D. Bosteels, M. Pannwitz, T. Tietze, M. Sens, J. Williams, A. Bouet and C. Chaillou, “Zero-Impact Emissions from a Gasoline Car with Advanced Emission Controls and E-Fuels,” 43rd International Vienna Motor Symposium, 2022.
-
K. Ramanathan, S. H. Oh and E. J. Bissett, “Electrically Heated Catalysts for Hybrid Applications: Mathematical Modeling and Analysis,” Industrial and Engineering Chemistry Research, Vol.50, pp.8444-8467, 2011.
[https://doi.org/10.1021/ie200044w]
- E. V. Gonze, M. J. Paratore and F. Ament, “SCR Cold Start Heating System for a Diesel Exhaust,” US Patent US7818960B2, 2010.
-
J. Gao, G. Tian, A. Sorniotti, A. E. Karci and R. D. Palo, “Review of Thermal Management of Catalytic Converters to Decrease Engine Emissions during Cold Start and Warm-Up,” Applied Thermal Engineering, Vol.147, pp.177-187, 2019.
[https://doi.org/10.1016/j.applthermaleng.2018.10.037]
-
M. R. Hamedi, O. Doustdar, A. Tsolakis and J. Hartland, “Energy-Efficient Heating Strategies of Diesel Oxidation Catalyst for Low Emissions Vehicles,” Energy, Vol.230, Paper No.120819, 2021.
[https://doi.org/10.1016/j.energy.2021.120819]
-
L. Barillari, A. D. Torre, G. Montenegro and A. Onorati, “CFD Investigation of the Radiative Heat Transfer Effects on the Adoption of an Electrically Heated Catalyst to Increase the Abatement Efficiency,” Journal of Physics: Conference Series, Vol.2385, No.1, Paper No.012071, 2022.
[https://doi.org/10.1088/1742-6596/2385/1/012071]
-
M. Idamakanti, E. B. Ledesma, R. R. Ratnakar, M. P. Harold, V. Balakotaiah and P. Bollini, “Electrified Catalyst for Endothermic Chemical Processes: Materials Needs, Advances, and Challenges,” ACS Engineering AU, Vol.4, pp.71-90, 2024.
[https://doi.org/10.1021/acsengineeringau.3c00051]
- National Research Council, Assessment of Fuel Economy Technologies for Light-Duty Vehicles, Washington, DC, National Academies Press, 2011.









