
사륜구동 하이브리드 차량의 병렬 파워트레인 구조 비교 분석
Copyright Ⓒ 2026 KSAE / 243-05
This is an Open-Access article distributed under the terms of the Creative Commons Attribution Non-Commercial License(http://creativecommons.org/licenses/by-nc/3.0) which permits unrestricted non-commercial use, distribution, and reproduction in any medium provided the original work is properly cited.
Abstract
This study compares the powertrain configurations of parallel hybrid electric four-wheel-drive (4WD) vehicles to evaluate fuel efficiency and acceleration performance. Dynamic models for P1, P2, P3, and P4 parallel hybrid architectures were developed, and dynamic programming-based optimization problems were formulated to analyze fuel efficiency and acceleration performance. Fuel-efficiency outcomes are cycle-dependent: in UDDS, serial/EV-capable P1 and dual-clutch P1&P2 led; in US06, single-clutch P4 performed best, owing to independent engine–rear motor operation and weight advantage; in HWFET, dual-clutch P1&P2 was superior after sustaining engine performance near its optimum. In terms of acceleration, on a flat road (0–100 km/h), P1&P2 were the quickest. On a 5.7° grade, P4 was initially faster due to load transfer and weight advantage, but P1&P2 prevailed at higher speeds. This study provided insights into the design and optimization of parallel 4WD hybrid electric vehicle powertrains, highlighting the impact of powertrain architecture on fuel efficiency and acceleration performance.
Keywords:
Hybrid electric vehicle, Parallel hybrid powertrain, Four wheel drive, Fuel efficiency, Dynamic programming키워드:
하이브리드 전기차, 병렬 하이브리드 파워트레인, 사륜구동, 연비, 동적 계획법1. 서 론
최근 자동차 산업에서는 연료 소비 절감과 배기가스 저감을 위한 기술 개발이 활발히 이루어지고 있으며, 특히 하이브리드 전기차(Hybrid Electric Vehicle, HEV)와 전기차(Electric Vehicle, EV)가 중요한 대안으로 주목받고 있다.1-3) EV는 배터리 기술과 충전 인프라의 발전에 따라 주행 가능 거리와 충전 속도가 지속적으로 개선되고 있으나, 긴 충전 시간과 높은 배터리 원가 등의 한계가 여전히 존재한다.4)이에 따라 실용성과 경제성을고려한 대안으로 HEV가 주목받고 있다. HEV는 내연기관과 모터를 결합하여 EV의 친환경성을 유지하면서도 내연기관 차량과 유사한 주행 가능 거리를 제공할 수 있어 현실적인 대안으로 자리 잡고 있다.
HEV 기술은 주로 이륜구동(Two Wheel Drive, 2WD) 차량을 중심으로 발전해 왔으나, 주행 안정성과 성능 향상을 고려하여 사륜구동(Four Wheel Drive, 4WD) 하이브리드 시스템에 대한 연구가 증가하고 있다.5) 4WD HEV는 전륜과 후륜의 동력을 개별적으로 제어할 수 있어 차량의 주행 성능과 안정성을 향상시킬 수 있다. 일반적으로 로 2WD HEV에서 4WD HEV로 전환하는 방식으로 후륜에 추가적인 모터를 장착하는 방법이 많이 활용된다.6,7) 이 방식은 기존 2WD HEV 플랫폼을 유지하면서도 4WD 기능을 추가할 수 있어 비교적 낮은 개발 비용으로 구현이 가능하며, 프로펠러 샤프트를 통한 동력 전달 손실을 줄이고 빠른 토크 응답성을 가지는 장점이 있다. 본 연구에서도 이러한 4WD HEV 전환 방식을 대상으로 한다.
HEV는 동력 전달 방식에 따라 직렬, 병렬, 동력분배식 (Power split) 방식으로 구분된다. 직렬 방식은 엔진이 직접 바퀴를 구동하지 않고, 발전기를 통해 생성된 전력으로 구동 모터를 작동시키는 구조이다. 엔진과 구동축이 기계적으로 연결되지 않아 최고 효율 지점에서 작동할 수 있으며, EV와 유사한 주행 특성을 제공한다. 8) 병렬 방식은 내연기관(Internal Combustion Engine, ICE)과 모터-발전기 (Motor-generator, MG)가 기계적으로 연결된 구조로, 주행 조건에 따라 단독 또는 병렬로 동력을 공급할 수 있다. 엔진은 차량의 기본적인 동력을 제공하며, 모터는 가속 시 출력을 보조하거나 회생 제동을 통해 에너지를 회수하는 역할을 한다. 기존 내연기관 차량과 유사한 주행 감각을 제공하면서도 모터를 활용하여 연비를 개선하고 성능을 향상시킬 수 있다는 특징이 있다. 9) 마지막으로, 동력분배 방식은 직렬과 병렬 방식의 특징을 결합한 구조로 동력 분배 장치를 이용하여 엔진과 모터의 출력을 주행 조건에 맞게 최적으로 조절한다. 10)
4WD HEV는 기존 2WD HEV와 마찬가지로 다양한 동력 전달 방식을 적용할 수 있으며, 파워트레인의 구성 방식에 따라 차량의 주행 성능, 연비, 제조 비용 등에 큰 영향을 미친다. 특히, 4WD 시스템에서는 전과 후륜의 동력 분배 방식이 설계에 따라 달라지며, 각 방식이 차량의 연비와 성능에 미치는 영향이 크다. 따라서 4WD HEV의 설계는 단순히 2WD HEV의 확장이 아니라, 전반적인 동력 전달 효율과 제어 전략을 고려한 최적화 과정이 필수적이다. 이와 관련하여, Ju 등 11)은 기존 동력분배식 HEV에 추가 출력 샤프트를 도입하여 새로운 4WD 복합 동력분배식 (Compound Power-split) 하이브리드 파워트레인을 제안하고, 4가지 4WD 하이브리드 파워트레인 구조(직렬, 병렬, 동력분배식, 복합 동력분배식)의 제조 비용, 연비, 가속 성능, 오프로드 성능, 제어 복잡도를 비교 분석하였다. 12) Pradeep 등 13)은 연속적인 가속 조건, 펄스형 가속 조건, 단계적 가속 조건과 같은 다양한 주행 조건에서 4WD HEV(직렬, 병렬, 직렬-병렬, 복합구조)의 차량 속도, 엔진 및 모터 속도, 연료 소비량, 배터리 충전 상태 등의 동적 거동을 2WD HEV와 비교 분석하였다. Yang 등 14)은 그래프 이론을 활용하여 파워트레인을 모델링하고, 이를 기반으로 가속 및 연비 성능을 고려한 4WD 동력분배식 하이브리드 구조를 설계하는 방법을 제안하였다. 이처럼 기존 연구들은 4WD HEV의 다양한 파워트레인 구조를 비교 분석하였으나, 주로 동력분배식에 초점을 맞추었으며, 병렬 하이브리드 구조에 대해서는 특정 아키텍처만을 고려하는 한계를 가진다.
그러나 4WD 병렬 하이브리드 구조는 전륜 모터의 배치 방식에 따라 다양한 설계가 가능하다. 대표적으로 P1 구조는 엔진 크랭크 샤프트에 모터가 장착되어 주로 보조 동력과 회생 제동을 담당한다. P2 구조는 엔진과 변속기 사이에 모터가 위치하여 엔진과 별도로 구동을 보조할 수 있으며, P3 구조는 변속기 출력축에 모터가 장착되어 전륜을 직접 구동하는 방식이다. P4 구조는 전륜에 엔진을, 후륜에 모터를 장착하여 구동 시스템을 구성한다. 이러한 병렬 하이브리드 구조는 연비, 가속 성능, 주행 안정성 등에서 각각 다른 특성을 가지지만, 기존 연구들은 병렬 하이브리드 구조의 다양한 설계를 종합적으로 비교 분석하지 못하고 있다.
본 연구에서는 4WD 병렬 하이브리드 파워트레인의 P1, P2, P3, P4 구조를 대상으로 연비 및 가속 성능을 비교 분석한다. 이를 위해 각 구조별 파워트레인 동역학 모델을 구축하고, 동적 계획법을 활용하여 연비 최적화 및 가속 성능을 분석하였다.
2. 차량 모델링
일관된 조건에서 비교하기 위해 각 하이브리드 파워트레인 구조는 동일한 엔진, 모터, 배터리 및 차량 파라미터를 사용하여 모델링하였다. 본 연구에서 사용한 제원은 Autonomie에 구현된 HEV 차량 모델을 기반으로 하였으며, 사용된 차량 및 파워트레인의 주요 제원은 Table 1과 같다. Autonomie는 Argonne national laboratory에서 개발한 상용 시뮬레이션 소프트웨어로, 전동화 차량의 시뮬레이션 및 해석을 위해 고정밀 차량 구성과 부품 모델을 제공한다. 또한 4WD HEV로 확장하기 위해 추가된 모터는 기존 차량의 변속기 및 전륜 최종 감속비를 고려하여 기존 모터의 제원을 조정한 사양으로 설정하였다.
2.1 엔진
엔진의 연료 소비량과 최대∙최소 토크는 Fig. 1의 엔진 특성 맵을 이용하여 계산된다. 연료 소비량은 다음과 같이 계산된다:
| (1) |
여기서 fuel은 연료 소비량이고, ωeng와 τeng는 엔진의 회전속도와 토크이다. fBSFC(ωeng,τeng)는 엔진 회전속도 및 토크 에 따른 연료 소비율을 결정하는 함수이다. 또한, 엔진의 최대 및 최소 토크는 다음과 같이 계산된다:
| (2) |
여기서 feng_torque(ωeng)는 엔진 회전속도에 따른 최대 및 최소 토크 값을 결정하는 함수이다.
2.2 모터
모터 전력 손실과 최대 토크는 Fig. 2의 모터 특성 맵을 이용하여 계산된다. 모터 전력 손실은 다음과 같이 계산된다:
| (3) |
여기서 Ploss는 모터의 전력 손실, ωMG와 τMG는 모터의 회전속도와 토크이다. floss(ωMG,τMG)는 모터 회전속도 및 토크에 따른 모터의 전력 손실을 결정하는 함수이다. 또한, 모터의 최대 토크는 다음과 같이 계산된다:
| (4) |
여기서 fMG_torque(ωMG)는 모터 회전속도에 따른 최대 토크 값을 결정하는 함수이다.
기존 2WD HEV에서 사용되는 MG1의 전력 손실 및 최대 토크는 Fig. 2의 (a)와 같다. 본 연구에서는 4WD HEV로 전환하면서 후륜에 MG2를 추가한다. 추가된 MG2는 기존 차량의 변속기 및 전륜 최종 감속비를 고려하여 MG1의 사이즈를 조정하여 설계하였으며, 그 특성은 Fig. 2의 (b)와 같다.
2.3 배터리
배터리 모델은 개방 회로 전압, 내부 저항, 배터리 용량, 배터리 충전∙방전 전력에 따른 등가 회로 모델15)을 기반으로 다음과 같이 표현된다:
| (5) |
여기서 SOC는 배터리 충전량, Pbat은 배터리가 MG1과 MG2를 통해 충∙방전하는 전력의 합, Voc는 개방 회로 전압, Ri는 내부 저항, Qbat은 배터리 용량이다.
2.4 종방향 차량 동역학
본 연구에서는 차량의 종방향 동역학만 고려한다. 차량은 구동력, 제동력, 구배 저항, 구름 저항, 공기 저항의 영향을 받는다.
| (6) |
여기서 meq는 차량의 등가 질량, vx는 종방향 속도, τfront, τrear는 각각 전륜 및 후륜에 전달되는 구동 토크, Rwheel은 타이어 반지름, Fbrake는 제동력, g는 중력가속도, θ는 도로의 구배, krr은 구름저항 계수, Cd는 공기저항 계수, Af는 차량의 전면 투영 면적, ρ는 공기의 밀도이다. 또한 τtraction은 차량 구동축에 전달되는 총 구동 토크를 의미하며, Rfront는 총 토크 중 전륜에 분배되는 비율로 정의된다.
3. 4WD 하이브리드 파워트레인 구조 설계
본 연구에서는 4WD 병렬 하이브리드 파워트레인의 다양한 구조를 비교하고, 클러치의 유무에 따른 성능 변화를 분석한다. 특히 P1, P2, P3, P4 구조를 대상으로 연비와 가속 성능을 비교한다.
앞서 2장에서 구축한 엔진, 모터, 배터리, 차량 동역학 모델은 각 4WD 병렬 하이브리드 파워트레인 구조(P1~P4)의 동력 전달 특성에 맞게 적용되었다. 특히 클러치 상태 변수 Sclutch를 도입하여 엔진과 모터의 결합 여부를 모델링하였으며, 이를 통해 클러치의 결합 유무에 따른 모터 속도 차이와 그에 따른 손실 효과가 반영되도록 하였다. 본 연구에서는 클러치 자체의 기계적 슬립 손실은 무시하고, 상태 변수 Sclutch(0 또는 1)의 이산 상태만 고려하였다.
3.1 P1 4WD 하이브리드 파워트레인 구조
Fig. 3은 P1 4WD 하이브리드 파워트레인 구조를 나타내며, P1 구조는 모터가 엔진의 크랭크축에 장착되는 구조를 말한다. 이때 전륜과 후륜에 전달되는 토크는 다음과 같다:
| (7) |
여기서 τfront와 τrear는 전륜과 후륜의 구동 토크, FRf와 FRr은 전륜과 후륜의 최종 감속비, GRTM은 변속기의 기어비, ηTM는 변속기의 효율, Sclutch는 클러치의 상태이다. 클러치가 닫히면 Sclutch=1, 열리면 Sclutch=0이다. 4WD에서 클러치가 열릴 경우, 엔진은 변속기와 분리되어 바퀴를 구동하지 않으며, MG1을 발전기로 활용할 수 있다. P1 구조에서 클러치가 없는 경우, 식 (7)에서 항상 Sclutch=1인 상태이다.
3.2 P2 4WD 하이브리드 파워트레인 구조
Fig. 4는 P2 4WD 하이브리드 파워트레인 구조를 나타내며, P2 구조는 모터가 엔진과 변속기 사이에 위치하는 구조를 말한다. 이때 전륜과 후륜에 전달되는 토크는 다음과 같다:
| (8) |
P2 구조에서는 클러치를 통해 엔진을 전륜과 분리할 수 있어, MG1과 MG2를 모두 활용한 전기 주행 모드가 가능하다. P2 구조에서 클러치가 없는 상태는 식 (8)에서 항상 Sclutch=1인 상태이며, 이는 P1 구조에서 클러치가 없는 경우와 동일한 구조를 가진다. 클러치가 두 개 있는 경우에는 P1과 P2의 클러치 위치 모두에 클러치가 존재하는 구조를 의미한다. 이를 통해 MG1이 발전기로 사용되는 모드, 전기 주행 모드, 엔진과 모터의 병렬로 작동하는 모드가 가능하다.
3.3 P3 4WD 하이브리드 파워트레인 구조
Fig. 5는 P3 4WD 하이브리드 파워트레인 구조를 나타내며, P3 구조는 모터가 변속기 출력축에 부착된 형태로 변속기의 기어비 영향을 받지 않고 독립적으로 동력을 전달할 수 있다. 이때 전륜과 후륜에 전달되는 토크는 다음과 같다:
| (9) |
P3 구조는 P2와 마찬가지로 클러치를 통해 엔진을 전륜과 분리할 수 있어, MG1과 MG2를 모두 활용한 전기주행 모드가 가능하다. P3 구조에서 클러치가 없는 경우, 식 (9)에서 항상 Sclutch=1인 상태이다.
4. 최적화 문제 설계
4.1 연비 최적화 문제 정의
주어진 주행 주기에서 운전자의 전력 수요를 충족하면서 배터리 SOC를 일정 범위 내에서 유지하고, 연료 소비를 최소화하는 최적화 문제는 다음과 같은 비용함수 Jfuel를 최소화하는 제어 입력을 구하는 문제로 정의할 수 있다:
| (11) |
여기서 fuel은 연료 소비량을 나타내며, ΔMode와 ΔGear는 각각 모드 변경 여부와 기어 변속 여부를 의미한다. 이 두 항은 불필요한 모드 전환과 잦은 기어 변속을 방지하기 위한 페널티 항으로 작용한다. SOCdes는 주행 종료 시 목표로 하는 배터리 충전 상태이며, 마지막 항은 최종 SOC가 이 목표에 최대한 근접하도록 하는 페널티 역할을 한다. 각 항의 가중치는 α1, α2, α3 의해 조절된다.
xk와 uk는 k 시점에서의 상태 변수와 제어 입력이며, 각 구조의 상태 변수와 제어 입력은 Table 2에 나와 있다. 상태 변수는 배터리 충전량 SOC, 이전 변속기 기어 단수 Gearprev, 이전 주행 모드 Modeprev로 구성되며, 제어 입력은 주행 모드 Mode, 전방 토크 분배 비율 Rfront, 변속기 기어 단수 Gear, 엔진의 토크 요구량 τeng으로 구성된다. xk+1 = f(xk, uk)은 동역학 모델로, 이는 2장과 3장에서 모델링한 구조별 동적 시스템을 기반으로 한다. 최적화는 주어진 주행 주기의 종료 시점까지 총 N단계 동안 계산되며, 최적화 과정에서 엔진과 모터의 속도 및 토크는 각각의 제한 범위 내에서 유지되도록 제약 조건을 설계하였다. 또한, 배터리의 SOC가 일정 범위 내에서 유지될 수 있도록 제약을 부여하여 배터리 방전이나 과충전을 방지한다. 추가적으로, 차량이 주어진 주행 주기를 따르도록 휠 토크 요구량과 실제 휠 토크 간의 편차를 제한하는 제약을 추가하였다. 이를 통해 차량이 주행 주기에서 요구되는 토크 범위 내에서 동작하도록 유도된다.
4.2 가속 성능 최적화 문제 정의
파워트레인 구조별 가속 성능을 비교하기 위해, 최적화 문제는 다음과 같은 비용함수 Jacc를 최소화하는 제어 입력을 구하는 문제로 정의할 수 있다:
| (12) |
여기서 μ는 노면 마찰계수, a는 차량의 무게중심에서 전륜 차축까지의 거리, b는 무게중심에서 후륜 차축까지의 거리, L은 휠베이스, h는 차량 무게중심 높이를 나타낸다. 상태 변수는 차량 속도 vx로 구성되며, 제어 입력은 변속기 기어 단수 Gear이다. 비용함수는 차량의 가속 성능을 극대화하기 위해 가속도의 역수 형태로 설계하였다.
특히, 본 연구는 4WD 구조별 가속 성능을 비교하는 것이므로, 가속 시 발생하는 하중 이동과 도로 경사의 영향을 고려하였다. 전·후륜 접지력에 따른 제약 조건을 추가하여, 각 축에 전달되는 구동 토크가 노면 마찰계수와 경사도를 반영한 동적 축하중에 의해 제한되도록 하였으며, 이를 통해 실제 차량에서 발생하는 구동력 한계를 모델에 반영하였다. 엔진과 모터는 주어진 상태에서 낼 수 있는 최대 토크를 출력하도록 설정하였으며, 이를 기반으로 각 파워트레인 구조의 최고 가속 성능을 비교·분석하였다.
4.3 동적 계획법 기반 최적화
본 연구에서는 연비 및 가속 성능 비교를 위한 최적화 문제를 해결하기 위해 동적 계획법을 적용하였다. 동적 계획법은 전체 문제를 작은 하위 문제로 나누어 순차적으로 해결하는 최적화 기법으로, 전역 최적해를 보장할 수 있다는 장점이 있다. 16) 동적 계획법을 적용하여 각 상태에서 최적의 제어 입력을 결정하기 위해, 다음과 같이 최적 비용 함수를 계산한다:
| (13) |
여기서 k는 주어진 주행 사이클을 이산화한 각 시간 단계를 의미하며, 전체 과정은 k = 0, …, N으로 구성된다. xk는 해당 단계에서 시스템의 상태를 나타내는 상태 변수이고, uk는 각 단계에서 시스템에 가할 수 있는 제어 입력이다. 각 문제에 대한 상태 변수와 제어 입력은 4.1절과 4.2절에 정의되어 있다.
최적 비용 함수 Jk*(xk)는 단계 k에서 상태가 xk일 때, 남은 모든 과정동안 발생할 수 있는 누적 비용의 최소값을 의미한다. 동적 계획법은 벨만의 최적성 원리에 따라 마지막 단계 N에서부터 역방향으로 최적해를 순차적으로 계산한다.
먼저, 주행이 종료되는 최종 단계(k = N)에서는 상태 xN에 대해 최종 상태 비용 JN*(xN)을 정의한다. 그 후 이전 단계(k = N-1, N-2, …, 0)로 순차적으로 이동하며 각 단계의 단계별 비용 L(xk,uk)과 다음 단계의 최적 비용 Jk+1*(xk+1)의 합을 최소화하는 제어 입력 uk를 탐색한다. 이 과정을 시작 단계(k = 0)까지 반복하면, 모든 상태에 대한 최적의 제어 입력과 누적 비용을 테이블 형태로 얻을 수 있다. 본 연구에서는 단계별 비용 함수를 연비 최적화 문제에서는 연료 소비량, 모드 변경 페널티, 기어 변속 페널티 항으로 정의하고, 가속 성능 최적화 문제에서는 가속도의 역수로 정의한다. 그리고 최종 상태 비용은 연비 최적화 문제에서는 주행 종료 시 목표 SOC와의 편차로 정의하고, 가속 성능 최적화 문제에서는 고려하지 않았다.
이와 같은 방식으로 동적 계획법 알고리즘은 가능한 모든 상태와 제어 입력 조합에 대해 비용을 계산하고, 이를 바탕으로 전체 주행 사이클에 대한 전역 최적 운전 전략을 도출한다.
5. 결 과
5.1 구조 별 연비 비교 결과
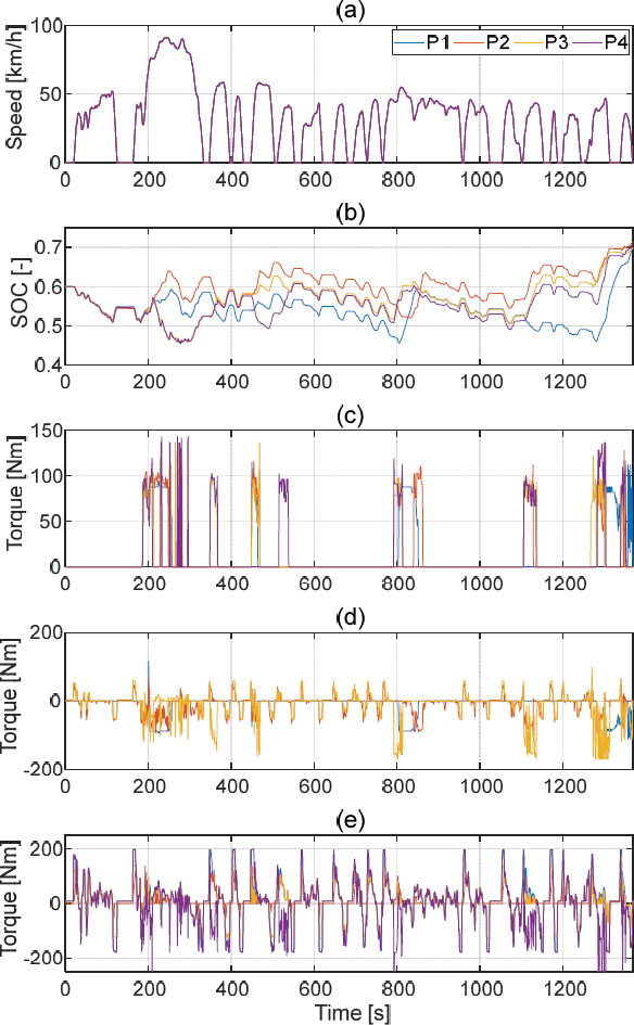
4.1절에서 설계한 연비 최적화 문제를 적용하여 다양한 4WD 병렬 하이브리드 파워트레인 구조에 대한 연비 최적화를 수행하였다. Fig. 7은 도심 주행 주기인 UDDS에서 각 구조의 최적 제어 전략 결과를 보여준다. 모든 파워트레인구조는목표속도프로파일을성공적으로추종했으며, 최종 SOC 또한 목표값인 0.7 부근에 도달하였음을 확인할 수 있다. 이는 주행 종료 시점의 SOC를 목표값에 근접시키도록 설계된 최종 상태 비용 함수가 의도대로 잘 작동했음을 보여준다. 또한, 엔진은 고효율 영역에서 선택적으로 작동하며, 상대적으로 고출력인 MG2는 주 구동 및 회생 제동을 담당하고, MG1은 주로 보조적인 발전을 맡는 경향을 보였다. 이러한 결과는 동적 계획법 알고리즘이 합리적인 제어 해를 도출했음을 보여준다.
Optimization results of the energy management strategy for parallel 4WD hybrid configurations: (a) vehicle speed, (b) SOC, (c) engine torque, (d) MG1 torque, and (e) MG2 torque
다양한 주행 환경에서의 성능을 종합적으로 비교하기 위해, 도심 주행 주기(UDDS) 외에도 급가속 및 고속 주행 주기(US06), 고속도로 주행 주기(HWFET)에 대한 연비 최적화를 진행하였다. Fig. 8은 UDDS, US06, HWFET의 세 가지 다른 주행 사이클에 대한 총 8가지 파워트레인 구조별 연비 최적화 결과를 보여준다.
Comparison of fuel efficiency of parallel 4WD hybrid configurations in (a) UDDS, (b) US06, and (c) HWFET
먼저, 도심 주행 환경인 UDDS 사이클에서는 클러치가 없는 P1&P2, P3, P4 구조의 연비가 각각 13.6 km/l, 11.4 km/l, 11.7 km/l로 나타났다. 클러치를 한 개 사용했을 때 P1, P2, P3, P4 구조는 각각 35.7 km/l, 32.2 km/l, 29.6 km/l, 33.5 km/l로 연비가 크게 상승했으며, 이 중 P1 구조가 가장 높은 연비를 보였다. 이는 P1 구조가 클러치를 개방한 상태에서 엔진을 최적 효율점으로 구동하여 발전할 수 있는 직렬 모드 운용이 저속 및 정차가 잦은 도심 주행에 효율적임을 의미한다. 전체 구조 중에서는 클러치가 두 개 있는 P1&P2 구조가 36.3 km/l로 가장 높은 연비를 기록했다. 이는 정차 및 저속 주행이 잦은 도심 환경에서는 클러치를 이용해 엔진을 정지시키고 전기 모드로 주행하는 전략이 효과적임을 보여준다.
고속 및 급가속 주행 환경인 US06 사이클의 경우, 클러치가 없는 P1&P2, P3, P4 구조는 각각 16.3 km/l, 15.9 km/l, 16.7 km/l의 연비를 보였다. 클러치를 한 개 사용했을 때 P1, P2, P3, P4 구조는 각각 19.5 km/l, 19.0 km/l, 17.4 km/l, 19.8 km/l의 결과를 보였다. 단일 클러치 구조 중 P4가 가장 높은 연비를 보였으며, 클러치가 두 개인 P1&P2 구조는 19.6 km/l로 P4 구조와 비슷한 결과를 보였다. 이는 엔진과 후륜 모터가 독립적으로 작동하는 P4 구조의 유연성과 다른 구조에 비해 모터의 개수가 1개 적은 중량 이점이 작용한 것으로 분석된다.
고속도로 주행 환경인 HWFET 사이클에서는 클러치가 없는 P1&P2, P3, P4 구조가 각각 18.2 km/l, 18.3 km/l, 19.3 km/l의 연비를 보였다. 클러치를 한 개 사용했을 때 P1, P2, P3, P4 구조는 각각 24.8 km/l, 22.6 km/l, 21.5 km/l, 24.1 km/l로 나타났으며, 이 중 P1 구조의 연비가 가장 높았다. 전체 구조 중에서는 클러치를 두 개 사용한 P1&P2 구조가 25.1 km/l로 가장 높은 연비를 보였다. 고속도로 주행 시 두 개의 클러치를 활용해 엔진을 최적 효율점에서 지속 운용하는 전략이 가장 효과적임을 보여준다.
모든 주행 사이클에서 클러치가 추가될수록 연비가 향상되는 경향이 나타났다. 이는 다른 구조에 비해 주행 모드의 자율도가 높아 더욱 효율적인 동력 분배가 가능하여 연비 효율이 증가한 것으로 분석된다. 그리고 사이클의 특성에 따라 상대적으로 우수한 구조가 달라지는데, 저속 · 정차가 잦은 UDDS에서는 직렬 · EV 운용의 이점이 큰 P1 또는 이중 클러치 P1&P2가, 급가속 · 고부하가 많은 US06에서는 엔진 · 모터 작동 유연성 및 경량 이점을 가진 P4가, 고속도로 위주의 HWFET에서는 엔진 효율 고정 운용이 용이한 이중 클러치 P1&P2가 각각 강점을 보였다.
5.2 구조 별 가속 성능 비교 결과
4.2절에서 설계한 가속 성능 최적화 문제를 적용하여 다양한 4WD 병렬 하이브리드 파워트레인 구조에 대한 가속 성능 결과를 비교하였다. 최대 가속 성능을 비교하므로 클러치를 통한 주행 모드 변경은 고려하지 않았으며, 따라서 P1과 P2 구조는 동일한 결과를 보인다.
평지 조건에서의 가속 성능 비교 결과는 Fig. 9의 (a)와 같다. 0 km/h에서 100 km/h 도달하는 시간은 P1&P2 구조에서 6.06 s, P3 구조에서 6.13 s, P4 구조에서 6.75 s로 나타났으며, P1&P2 구조가 가장 우수한 가속 성능을 보인다. 이는 엔진과 MG1이 변속기를 거쳐 함께 전륜을 구동할 수 있어, 초기 가속 시 저속 구간에서 더 높은 구동력을 제공할 수 있기 때문으로 분석된다.
Comparison of acceleration performance of parallel 4WD hybrid configurations on (a) a flat road and (b) an uphill road
Fig. 9의 (b)는 5.7°경사 조건에서의 가속 성능을 나타낸다. 평지 조건과 달리, 약 4초까지의 초기 가속 구간에서 P4 구조가 가장 우수한 성능을 보임을 확인할 수 있다. 경사 주행 시에는 가속에 의한 종방향 하중 이동에 더해, 구배로 인한 추가적인 하중 이동이 후륜으로 중첩된다. 이로 인해 전륜의 수직하중이 크게 감소하며, 이는 타이어가 노면에 전달할 수 있는 최대 구동력의 한계를 결정한다. P1&P2 및 P3 구조는 엔진과 모터가 모두 전륜에 위치하여 높은 잠재적 구동 토크를 생성하지만, 전륜 수직하중 감소로 인해 성능을 모두 활용하지 못하고 타이어 접지력 한계에 의해 출력이 제한된다. 반면, P4 구조는 상대적으로 모터가 하나 적어 발생하는 중량 이점이 더해져 초기 가속에서 우위를 점하는 것으로 분석된다. 그러나 속도가 증가하고 변속 단수가 높아지면서 변속기의 토크 증대 효과가 감소하는 고속 구간에서는, P4 구조의 초기 이점보다 P1&P2, P3 구조가 갖는 추가 모터의 출력 우위가 더 지배적인 요소로 작용한 것으로 분석된다.
6. 결 론
본 연구는 4WD 병렬 하이브리드 파워트레인의 P1, P2, P3, P4 구조를 대상으로 연비 및 가속 성능을 비교·분석하였다. 이를 위해 동일한 엔진, 모터, 배터리 및 차량 파라미터를 적용하여 구조별 동역학 모델을 구축하고, 동적 계획법을 적용하여 각 구조의 최적 성능을 도출하였다.
연비 최적화 결과, UDDS 주행 주기에서는 직렬·EV 모드 이점으로 P1 또는 이중 클러치 P1&P2가 가장 높은 연비를 보였으며, US06 주행 주기에서는 엔진·모터 독립 활용과 경량 이점으로 단일 클러치 P4가 가장 높은 연비를 보였다. HWFET 주행 주기에서는 엔진 최적 효율 유지에 유리한 이중 클러치 P1&P2가 가장 높은 연비를 보였다. 가속 성능 비교 결과, 평지에서는 P1&P2가 가장 우수한 성능을 보였으며, 경사 조건에서는 하중 이동 및 경량 이점으로 인해 초기에 P4가 우세했으나, 속도 증가에 따라 P1&P2와 P3의 출력 우위로 인해 P1&P2가 가장 우수한 성능을 보였다.
본 연구는 다양한 4WD 하이브리드 파워트레인 구조를 종방향 성능을 기준으로 비교하여 각 구조의 기본적인 효율 특성을 분석하였다. 그러나 4WD 시스템은 독립적인 전후륜 구동력 제어를 통해, 본 연구에서 다룬 종방향 성능 외에도 험로 주파 능력과 선회 안정성 향상이라는 중요한 이점을 가진다. 따라서 향후 연구에서는 이러한 이점들을 정량적으로 평가하기 위해 언덕 및 험로 주파 성능을 포함하는 종합적인 구동 능력과, 선회 시 전후 구동력 배분을 통해 언더스티어·오버스티어를 제어하고 목표 요레이트를 추종하는 횡방향 동특성까지 통합적으로 고려하는 방향으로 연구를 확장할 필요가 있다.
Acknowledgments
이 과제는 부산대학교 기본연구지원사업(2년)에 의하여 연구되었음.
References
-
A. S. Veerendra, M. R. B. Mohamed and F. P. García Márquez, “Energy Management Control Strategies for Energy Storage Systems of Hybrid Electric Vehicle: A Review,” Energy Storage, Vol.6, pp.e573, 2024.
[https://doi.org/10.1002/est2.573]
-
E. Fantin Irudaya Raj and M. Appadurai, “The Hybrid Electric Vehicle (HEV)—An Overview,” Emerging Solutions for e-Mobility and Smart Grids: Select Proceedings of ICRES 2020, pp.25-36, 2021.
[https://doi.org/10.1007/978-981-16-0719-6_3]
-
W. Zhang, X. Fang and C. Sun, “The Alternative Path for Fossil Oil: Electric Vehicles or Hydrogen Fuel Cell Vehicles?,” Journal of Environmental Management, Vol.341, pp.118019, 2023.
[https://doi.org/10.1016/j.jenvman.2023.118019]
-
F. Alanazi, “Electric Vehicles: Benefits, Challenges, and Potential Solutions for Widespread Adaptation,” Applied Sciences, Vol.13, pp.6016, 2023.
[https://doi.org/10.3390/app13106016]
-
K. Han and G. Park, “Lateral Motion Control of Electronic-Four-Wheel Drive Vehicles for Enhancement of Cornering Performance,” Transactions of KSAE, Vol.28, pp.605-611, 2020.
[https://doi.org/10.7467/KSAE.2020.28.9.605]
-
G. Park and S. B. Choi, “Development of a Torque Vectoring System in Hybrid 4WD Vehicles to Improve Vehicle Safety and Agility,” Proc. of the 2019 American Control Conference (ACC), pp.316-321, 2019.
[https://doi.org/10.23919/ACC.2019.8814750]
-
K. Jeong, S. Ha and H. Lee, “Supervisory Control Algorithm Design of a 48V 4WD Hybrid Electric Vehicle with Fuel Efficiency Analysis,” Transactions of KSAE, Vol.26, pp.131-141, 2018.
[https://doi.org/10.7467/KSAE.2018.26.1.131]
-
T. Katrasnik, F. Trenc and S. R. Opresnik, “Analysis of Energy Conversion Efficiency in Parallel and Series Hybrid Powertrains,” IEEE Transactions on Vehicular Technology, Vol.56, pp.3649-3659, 2007.
[https://doi.org/10.1109/TVT.2007.901033]
-
S. Delprat, C. H. Bornard, D. Chauvin and J. M. B. R. Maréchal, “Control of a Parallel Hybrid Powertrain: Optimal Control,” IEEE Transactions on Vehicular Technology, Vol.53, pp.872-881, 2004.
[https://doi.org/10.1109/TVT.2004.827161]
-
X. Zhang, H. Wu, F. Ju and K. Li, “Design of Multimode Power-Split Hybrid Vehicles—A Case Study on the Voltec Powertrain System,” IEEE Transactions on Vehicular Technology, Vol.65, pp.4790-4801, 2016.
[https://doi.org/10.1109/TVT.2016.2531740]
-
F. Ju, H. Wu, Y. Zhang and K. Li, “Optimal Sizing and Adaptive Energy Management of a Novel Four-Wheel-Drive Hybrid Powertrain,” Energy, Vol.187, pp.116008, 2019.
[https://doi.org/10.1016/j.energy.2019.116008]
-
F. Ju, H. Wu, Y. Zhang and K. Li, “Comparison of Four-Wheel-Drive Hybrid Powertrain Configurations,” Energy, Vol.209, pp.118286, 2020.
[https://doi.org/10.1016/j.energy.2020.118286]
-
D. J. Pradeep, N. M. Annamalai, S. Ramakrishnan and M. Arulmozhiyal, “Critical Performance Analysis of Four-Wheel Drive Hybrid Electric Vehicles Subjected to Dynamic Operating Conditions,” World Electric Vehicle Journal, Vol.14, pp.138, 2023.
[https://doi.org/10.3390/wevj14060138]
-
Y. Yang, F. Ju, H. Wu and K. Li, “Design of All-Wheel-Drive Power-Split Hybrid Configuration Schemes Based on Hierarchical Topology Graph Theory,” Energy, Vol.242, pp.122944, 2022.
[https://doi.org/10.1016/j.energy.2021.122944]
-
H. He, R. Xiong and J. Fan, “Evaluation of Lithium-Ion Battery Equivalent Circuit Models for State of Charge Estimation by an Experimental Approach,” Energies, Vol.4, pp.582-598, 2011.
[https://doi.org/10.3390/en4040582]
- R. E. Bellman and S. E. Dreyfus, Applied Dynamic Programming, Princeton, Princeton University Press, 2015.






