The Korean Society Of Automotive Engineers
[ Article ]
Transactions of the Korean Society of Automotive Engineers - Vol. 33, No. 12, pp.1055-1064
ISSN: 1225-6382 (Print) 2234-0149 (Online)
Print publication date 01 Dec 2025
Received 14 Jul 2025 Revised 11 Aug 2025 Accepted 12 Aug 2025
DOI: https://doi.org/10.7467/KSAE.2025.33.12.1055

쌍곡탄젠트 함수를 이용한 효율적 자율주행 차량 차선 변경 알고리즘에 대한 연구

김수근1) ; 정대이*, 2)
1)군산대학교 기계공학과
2)군산대학교 기계공학부
A Study on Efficient Lane Change Algorithm for Autonomous Vehicles Using the Hyperbolic Tangent Function
Sugeun Kim1) ; Daeyi Jung*, 2)
1)Department of Mechanical Engineering, Kunsan University, Jeonbuk 54150, Korea
2)Division of Mechanical Engineering, Kunsan University, Jeonbuk 54150, Korea

Correspondence to: *E-mail: dyjung@kunsan.ac.kr

Copyright Ⓒ 2025 KSAE / 241-07
This is an Open-Access article distributed under the terms of the Creative Commons Attribution Non-Commercial License(http://creativecommons.org/licenses/by-nc/3.0) which permits unrestricted non-commercial use, distribution, and reproduction in any medium provided the original work is properly cited.

Abstract

This study proposed a lane change algorithm for a single lane change of an autonomous vehicle. The trajectory of the turning reference during lane change was defined using a hyperbolic tangent (Tan-sigmoid) function, and various turning conditions were formulated by varying the curvature control coefficient k. The ego vehicle was designed to track the corresponding reference trajectory under each condition by applying a preview steering control method, and the entire algorithm was implemented in a MATLAB/Simulink simulation environment. The proposed algorithm was tested under straight and gently curved roads with constant curvature by varying the value of k, and the steering and dynamic response characteristics of the vehicle, such as yaw rate and lateral acceleration, were analyzed. As a result, various lane change scenarios can be generated by adjusting only a single variable k, offering the advantages of simpler implementation and greater flexibility than conventional complex algorithms. In the future, obstacle recognition and sensor-based decision-making functions will be added, and the effectiveness of the proposed algorithm will be verified through hardware-in-the-loop simulation (HILS).

Keywords:

Autonomous vehicle, Vehicle dynamics, Single lane change, Path planning, Trajectory tracking, Preview steering control

키워드:

자율주행 자동차, 차량 동역학, 단일 차선 변경, 경로 계획, 궤적 추종, 미래 경로 기반 조향 제어

1. 서 론

자율주행 기술의 고도화에 따라, 차량 주행 중 차선 변경 시나리오는 자율주행 시스템의 핵심 성능 요소로 자리잡고 있다. 특히 고속 주행 중 발생할 수 있는 차선 변경은 자율 주행 차량의 안전성과 직결되기 때문에, 이를 위한 판단 및 제어 알고리즘1-2,8,14) 및 단일 차선 변경(Single lane change) 상황에 대응하기 위한 연구10,12-13)가 제안되었다. 기존 자율주행 관련연구는 학습 기반 예측 모델(AI),1,4,9-10) 모델 예측 제어(Model predictive control)2-3,5,11-12) 그리고 AES/AEB 관련 제어 방식6-8,13-14) 등으로 구분된다. 학습 기반 예측 모델(AI)는, LSTM 구조를 활용한 차량 예측 모델,1) 심층 강화학습 이용한 조향 연구,4) 딥러닝 궤적 예측 모델,9) 신경망을 활용한 위험도 판단 및 행동 결정10) 등은 복잡한 주행 상황에 대한 추론 및 판단이 가능하다는 장점을 가진다. 모델 예측 제어(Model predictive control)는 최적 제어를 적용한 회피 조향 연구,2) 2계층 구조의 차선 추종 연구,3) 속도 적응형 횡방향 제어 전략,5) 경로 재계획(Replanning) 궤적 추종 연구,11) 특정 상황(Cut-in, Cut-out)의 ACC 적용12)등으로 구성되어 높은 제어 정밀도와 제약 조건 처리에 강점을 가진다. AES/AEB 제어 연구는 Steer-by-wire 조향 제어,6) 긴급 회피 조향 알고리즘,7) AES 및 AEB의 복합 적용 분석 연구,8) DLC(Double lane change) AES 적용 연구,13) Cut-out 시나리오 AES 평가 프로토콜 연구14)등이 제안되었다. 그러나 해당 선행 연구들은 시스템 구조의 복잡성과 연산량 증가라는 공통된 한계를 가지고 있다. AI 모델은 반복 학습 과정과 데이터에 대한 높은 의존성으로 인해, 실시간 판단에 있어 한계가 존재한다. MPC 기반 제어기는 최적화 문제를 반복적으로 해결해야 하며, 제약 조건이 복잡해질수록 연산량이 증가하는 단점을 지닌다. 또한, AES/AEB 통합 제어 구조는 긴급 상황에서 다수의 센서 입력과 제어 명령이 병렬로 처리되어야 하므로, 충돌 회피 판단 로직이 복잡하게 구성된다. 본 연구에서는 선행 연구의 한계를 보완하기 위해 Tan-sigmoid 함수를 적용한 차선 변경 궤적을 정의하였다. 해당 함수의 변수 k의 설정에 따라 차선 변경 시 곡률 변화의 정도를 조절할 수 있으며, 이를 통해 다양한 차선 변경 시나리오를 생성할 수 있다. 본 방법은 기존의 복잡한 알고리즘에 비해 구현이 간단하고 유연성이 뛰어나다는 장점을 가진다. 생성된 차선 변경 궤적을 따라 차량이 안정적으로 주행할 수 있도록 Preview steering control 기법을 적용하였으며, 반복 계산이 없는 효율적인 차선 변경 알고리즘을 제안한다. 해당 알고리즘의 검증을 위해 차량 동역학 모델을 직접 구성하였으며, 관련 경로 계획(Path planning) 모듈은 Tan-sigmoid 함수에 정의된 기준 궤적의 Yaw angle(ψ), Yaw rate(ψ̇), 횡방향 위치 및 속도를 계산하여 조향제어 모듈에 전달한다. 이를 바탕으로 제어기(Controller) 모듈은 주행 차량(Ego Vehicle)이 기준 궤적을 안정적으로 추종하는 조향 및 구동 제어 입력을 생성한다. 본 논문의 구성은 다음과 같다. 2장은 3자유도(DOF) 차량 동역학 모델과 Preview steering control 제어 기반 앞 바퀴 조향각(Steering angle) 입력 수식을 제시한다. 3장은 단일 차선 변경(Single lane change) 알고리즘의 제어 블록 다이어그램과 직선 및 곡선 도로의 기준 궤적을 정의한다. 4장은 시뮬레이션을 통해 단일 차선 변경(Single lane change) 알고리즘의 성능을 검증한다. 5장은 연구 결과를 정리하고 향후 연구 방향을 제안한다.


2. 차량 동역학 모델 및 조향 구동 제어 입력

본장에서는 차선 변경을 위한 차량 모델의 구성과 이에 따른 조향 및 구동 제어 입력에 대해 다룬다. Fig. 1은 본 연구에서 사용된 3자유도(DOF) 차량 모델을 나타낸다. 상용 차량 동역학 모델을 이용한 Hardware-In-the-Loop Simulation(HILS) 시스템은 구축 및 운용에 있어 높은 비용과 시간이 요구된다. 이에 본 연구에서는 자체 개발한 차량 동역학 모델을 활용할 예정이며, 상대적으로 저비용의 HILS 환경을 구성하고 이를 다음 단계의 연구에 활용하고자 한다.

Fig. 1

Vehicle model

종⋅횡방향 및 요 가속도는 전륜 fl, fr 및 후륜 fl, fr의 타이어에서 발생한 힘과 모멘트로부터 계산되며, 차량의 운동방정식은 다음과 같이 정의된다.

ax=1mFx,fl+Fx,fr+Fx,rl+Fx,rr+ψVy(1) 
ay=1mFy,fl+Fy,fr+Fy,rl+Fy,rr+ψVx(2) 
ψ¨=1IzMfl+Mfr+Mrl+Mrr(3) 

식 (1) ~ (3)에 표현된 힘 산출에 필요한 슬립비 및 슬립각 계산을 위해, 전륜 fl, fr 및 후륜 rl, rr의 휠 선형 속도는 다음과 같이 정의된다.

Vpfl=VxVy+-Tf2×ψLf×ψVpfr=VxVy+Tf2×ψLf×ψ(4) 
Vprl=VxVy+-Tr2×ψ-Lr×ψVprr=VxVy+Tr2×ψ-Lr×ψ(5) 

식 (4) ~ (5)은 종방향 속도 Vx, 횡방향 속도 Vy, Yaw rate ψ˙로 구성된다. 여기서 Tf, Tr은 차량 중심으로부터 좌우 타이어의 거리이며, Lf, Lr은 전후 바퀴 중심까지의 거리이다. 각 타이어의 슬립비 λi식 (4) ~ (5)에서 계산된 타이어 휠 선형 속도를 이용하여 다음과 같이 정의된다.

λi=Rωi-Vpx,iMaxRωi,Vpx,i,i=fl,fr,rl,rr(6) 

식 (6)의 전륜 i = fl,fr, 후륜 i = rl,rr이다. 다음으로, 슬립각 α은 전륜 조향과 속도의 비로 정의되며, 전륜 슬립각은 다음과 같다.

αfl=δfl-tan-1Vpfl,yVpfl,x(7) 
αfr=δfr-tan-1Vpfr,yVpfr,x(8) 

후륜 슬립각은 다음과 같이 정의된다.

αrl=-tan-1Vprl,yVprl,x(9) 
αrr=-tan-1Vprr,yVprr,x(10) 

전륜 및 후륜에 발생하는 타이어 힘을 산출하기 위한 수직하중을 다음과 같이 정의한다.

Fn,fl=1Lf+LrLrmg2-hmax2-Trhmay(11) 
Fn,fr=1Lf+LrLrmg2-hmax2+Trhmay(12) 
Fn,rl=1Lf+LrLfmg2+hmax2-Tfhmay(13) 
Fn,rr=1Lf+LrLfmg2+hmax2+Tfhmay(14) 

식 (15)μ는 정적 마찰 계수를 의미한다. 식 (16)은 마찰 보정 계수이며 한계값이 초과되지 않도록 다음과 같이 제한한다.

σ=1-λiμFn,i2Cxx2λi2+Cyy2tan2αi,i=fl,fr,rl,rr(15) 
ki=2-σσ, if σ<11, otherwise ,i=fl,fr,rl,rr(16) 

식 (6) ~ (10) 그리고 식 (16)을 이용하여 전륜 및 후륜타이어에 작용하는 종⋅횡방향 힘은 다음과 같이 정의된다.

Fx,i=Cxxλi1-λiki,i=fl,fr,rl,rr(17) 
Fy,i=Cyytanαi1-λiki,i=fl,fr,rl,rr(18) 

식 (17) ~ (18)은 타이어의 종·횡방향 강성계수 Cxx, Cyy 그리고 마찰 보정 계수등에 의해 결정된다. 전륜 타이어에 작용하는 힘은 전륜 조향과 식 (17) ~ (18)을 이용하여 다음과 같이 정의된다.

Fx,flFy,fl=cosδfl-sinδflsinδflcosδflFx,flFy,fl(19) 
Fx,frFy,fr=cosδfr-sinδfrsinδfrcosδfrFx,frFy,fr(20) 

식 (17) ~ (20)을 이용하여 전륜 및 후륜의 모멘트는 다음과 같이 정의된다.

Mfl=Fy,flLf-Fx,flTf2(21) 
Mfr=Fy,frLf+Fx,frTf2(22) 
Mrl=-Fy,rlLr-Fx,rlTr2(23) 
Mrr=-Fy,rrLr+Fx,rrTr2(24) 

식 (25)는 구동 제어식을 나타낸다. 주행 차량(Ego vehicle)의 종방향 속도 Vx 및 목표 속도 Vtarget 간 오차에 가속상수 Kv를 곱하여 계산된다. EtEt,limit 구동 한계값을 초과하지 않도록 제한된다.

Et=-KvVx-Vtarget , if Et<Et, limit Et, limit , otherwise (25) 

구동 입력Et이 적용되는 차량의 후륜 회전 운동 방정식 다음과 같이 정의된다.

ω˙i=1JEtR-Fx,iR-cωi,i=fl,fr,rl,rr(26) 

J는 회전 관성, R은 타이어 반경, Fx,i는 각 타이어의 종방향 힘을 나타낸다. 전륜은 식 (19) ~ (20) 후륜은 식 (17) ~ (18)에서 계산된 종방향 힘이 적용된다. c는 감쇠 계수 그리고 ωi는 각 타이어의 회전 속도를 나타낸다. 그리고 Preview steering control 제어 기반의 앞 바퀴 조향제어각 (Steering control angle)은 다음과 같이 정의된다.

SWFcurrent =-Cy Ky Kθ  Kθ˙Vy,ego-y˙refyego -yref ψego -ψref ψ˙ego -ψ˙ref (27) 
SWFpreview =-i=1NpβKyKθyego -yi, ref ψego -ψi, ref (28) 
SWF=SWFcurrent+SWFpreview(29) 

식 (27) ~ (28)는 각각 현재 및 미래 도로에 대한 주행 차량과 위치 및 방향의 오차를 활용한 피드백 제어법칙을 나타낸다. 여기서 Np는 5로 설정하였으며, 각 미래 도로 정보 i = 1, …, Np에 대해 가중치 계수 β가 적용된다. 식(29)식 (27) ~ (28)을 합산하여 앞 바퀴 최종 조향각(Steering angle)이 결정된다. Fig. 2는 현재와 미래 도로의 횡방향 및 요각 오차를 도식화한 것이다. 해당 기법은 안정적인 조향 응답과 궤적 추종의 정확도를 높인다.

Fig. 2

Preview steering control


3. 단일 차선 변경 알고리즘

본 장에서는 쌍곡선 탄젠트 함수를 이용한 차선 변경 알고리즘(Single lane change)에 대해 다룬다. Fig. 3은 MATLAB/Simulink 기반으로 구현된 단일 차선 변경 알고리즘의 전체 구조를 나타낸다. 여기서 Path planning 모듈은 기준 궤적의 종·횡방향 위치 성분, Yaw angle(ψ), Yaw rate(ψ̇)를 생성한다. Controller 모듈은 생성된 기준 궤적 정보를 바탕으로, 식 (29)에 정의된 조향 입력과 식 (25)를 기반으로 구동 입력 Et도 함께 산출한다. 해당 입력은 차량 모델에 전달되어 차량의 상태(Vehicle state)를 갱신하며, 이 값은 Controller 모듈의 피드백 제어 값으로 활용된다. 쌍곡선 탄젠트 함수를 이용하여 단일 차선 변경 기준 궤적의 위치 및 방향 각은 다음과 같이 정의할 수 있다.

Fig. 3

Control block diagram of single lane change

Xref,SLC=V time(30) 
Yref,SLC=A21+e-2kXref,SLC-Xc(31) 
Xb=12k2-HH(32) 
Xc=V time *+Xb(33) 
ψref,SLC=modtan-1dyref.SLCdXref,SLC,2π(34) 

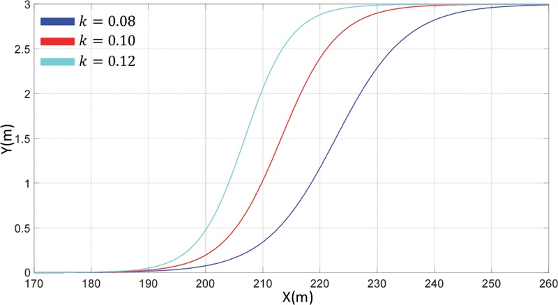
식 (30)의 종방향 위치 성분은 주행차량(Ego vehicle)의 속도와 시간의 곱으로 구성된다. 반면 식 (31)은 쌍곡선 탄젠트 함수 기반 횡방향 위치 성분을 나타낸다. A는 궤적의 진폭, k는 궤적의 기울기를 조절하는 계수이다. 식 (32)는 함수의 대칭길이 정의한 것이며, 직선 궤적(y=0)과 쌍곡선 탄젠트 함수를 부드럽게 연결하는 조절 상수 H로 구성된다. 본 연구에서는 H는 0.001로 설정하였다. 식 (33)은 쌍곡선 탄젠트 함수의 중심위치 Xc를 나타내며 이는 차량 속도와 선회 시작 시간(time*) 의 곱의 값에 Xb를 가산하여 정의한 것이다. 이러한 구조는 기울기 k만으로 선회 궤적의 대칭길이 Xc를 유연하게 조절할 수 있음을 의미한다. 식 (34)은 궤적의 방향각을 의미하며, 식 (30) ~ (31)에서 정의된 위치 성분의 도함수와 tan-1 함수를 적용하여 계산하고, 0 ~ 2π 범위로 정규화한다. Fig. 4식 (32) ~ (33)을 시각화한 결과로, 중심 위치(Xc=220 m)를 기준으로 함수의 대칭길이를 나타낸다. 궤적 기울기는 0.08로 설정하였다. Fig. 5식 (31)에서 정의된 쌍곡 탄젠트 함수의 기울기 k변화에 따른 선회 기준 궤적을 시각적으로 나타낸 결과이다. Fig. 6식 (30) ~ (31)의 위치 성분을 기반으로 기울기 k변화에 따른 순간 기울기 (dy/dx)를 시각화한 결과이다. Figs. 4 ~ 6은 단일 변수 k가 증가함에 따라 궤적의 곡률과 기울기 변화량이 커지는 것을 확인하였다. 이는 궤적 곡률을 수치적으로 조정할 수 있음을 의미한다. 이러한 구조는 고정된 경로를 사용하는 기존 연구2,3,5,11-13)와 달리, 다양한 차선 변경 시나리오를 적용할 수 있음을 보여준다. 한편, 식 (35)는 곡선 도로의 요각을 나타낸다.

Fig. 4

Tangent sigmoid trajectory with symmetric Xs and centered at X0

Fig. 5

Reference trajectories with different k values

Fig. 6

Instantaneous slope profiles for different k value

ψc=VR time(35) 

곡선 도로의 단일 차선 변경(Single lane change) 기준 궤적의 위치 성분 및 요각은 다음과 같이 정의된다.

Xref,SLCYref,SLC=cosψc-sinψcsinψccosψcXref,SLCyref.SLC(36) 
ψref,SLC=modtan-1dyref,SLCdXref,SLC,2π(37) 

식 (36)식 (30) ~ (31), (35)를 이용하여 전역 좌표계로 변환한 위치 성분을 나타낸다. 식 (37)은 궤적의 방향각을 의미한다. Table 1은 직선도로와 곡선도로의 위치성분과 방위각을 나타낸 것이며, R은 회전 반경을 의미한다. Table 1에 따르면, 직선 도로는 주행 경로가 일정하므로, 위치 성분 및 요각도 모두 0으로 고정된다. 반면, 곡선 도로는 위치 성분 및 요각도는 지속적으로 변화한다.

Reference road for straight and curved roads

Xref =Xref,road +Xref.SLC (38) 
Xref =Xef,road +Xref.SLC (39) 
ψref=ψref,road+ψref,SLC(40) 

식 (38) ~ (40)은 도로 기준 궤적과 단일 차선 변경(Single lane change) 기준 궤적을 합산하여 주행 차량(Ego vehicle)이 추종하는 최종 기준 궤적을 나타낸다.


4. 단일 차선 변경 시뮬레이션 결과

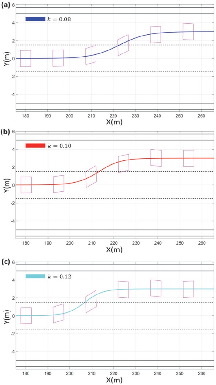
Fig. 7의 (a) ~ (c)는 차량 종방향 속도 65 km/h 조건에서, 앞 바퀴 조향제어각(Steering control angle) 입력을 CarSim 모델과 본 논문에서 제안한 차량 모델에 제공한 결과이며, 두 모델의 횡가속도 및 요각속도 응답이 거의 일치함을 보여준다. 이를 통해 제안된 차량 모델이 충분한 정확도를 확보하고 있음을 확인할 수 있었다. Figs. 8 ~ 9의 (a) ~ (c)는 직선 및 반경이 일정한 곡선 도로 환경에서 단일 차선 변경 (Single lane change) 과정을 나타낸다.

Fig. 7

Response comparison between the proposed vehicle model and CarSim under steering input (longitudinal velocity = 65 km/h)

Fig. 8

Single lane change sequence on a straight road (V = 90 km/h)

Fig. 9

Single lane change sequence on a curved road (V = 90 km/h/R = 5000 m)

주행 차량의 속도는 90 km/h로 정속 주행을 하도록 하였다. k값이 0.02 증가 시, 차선 변경이 약 10m 더 빠른 차선 변경을 진행함을 알 수 있었으며, 이는 단일 변수의 조절만으로 다양한 선회 궤적을 생성할 수 있음을 의미한다. 이를 좀 더 명확하게 파악하기 위해 Fig. 10의 (a) ~ (c)는 직선 도로 환경에서 k값 변화에 따라 차선 변경 거리에 대한 결과를 나타낸 것이다. Figs. 11 ~ 12, Figs. 13 ~ 14, Figs. 15 ~ 16은 각각 도로 환경(직선/곡선)과 기울기 k값 변화에 따라 생성된 앞바퀴 조향(Steering angle), 요레이트(Yaw rate) 그리고 횡가속도(Lateral acceleration)의 시간 응답을 나타낸다. 시뮬레이션 결과, k값이 증가할수록 예상대로 모든 동적 응답이 비례하여 증가하였고, 조향각도는 약 0.7 o, 요각속도는 약 0.75 rad/s 그리고 횡가속도는 약 0.8 m/s2 증가함을 보였다. 또한, 직선 및 곡선도로의 전체 횡가속도는 약 최대 2.2 ~ 4.2 m/s2로 관측되었으며, 이는 차량의 선회 안정성을 평가한 기존 연구15)에서 제시된 안전 기준에 부합한다. 아울러, 기존 MPC 기반 연구들과 비교한 결과 유사한 수준의 동적 응답 성능을 보였다. 최적 제어를 적용한 회피 조향 연구2)에는 최대 2.76 m/s2 횡가속도가 관측되었으며, 2계층 구조의 차선 추종 연구3)는, ± 0.5 rad/s경로 재계획(Replanning) 궤적 추종 연구11)는 ± 0.3 ~ 0.5 rad/s의 요각속도가 관측되었다. 이러한 결과는 복잡한 계산없이 간결한 구조만으로도 기존 연구와 유사한 동적 응답 성능을 확인하였다. 또한, Figs. 17 ~ 18의 (a) ~ (c)는 직선 도로 및 일정 반경의 곡선 도로 환경에서 1차선에 주행 중인 두 차량 간 거리와 상대속도를 반영한 단일 차선 변경(Single lane change) 과정을 나타낸다. 여기서 사용된 차선 변경 전략은 Table 2에 정리하였다.

Fig. 10

Single lane change sequence on a road with height variation (V = 90 km/h)

Fig. 11

Steering wheel front on a straight road (V = 90 km/h)

Fig. 12

Steering wheel front on a curved road (V = 90 km/h/R = 5000 m)

Fig. 13

Yaw rate on a straight road (V = 90 km/h)

Fig. 14

Yaw rate on a curved road (V = 90 km/h/R = 5000 m)

Fig. 15

Lateral acceleration on a straight road (V = 90 km/h)

Fig. 16

Lateral acceleration on a curved road (V = 90 km/h/R = 5000 m)

Fig. 17

Single lane change sequence on a straight road with varying k and front vehicle distance (V= 90 km/h)

Fig. 18

Single lane change sequence on a curved road with varying k and front vehicle distance (V = 90 km/h/R = 5000 m)

Lane change strategy based on k values

Table 2에 따르면, d는 1차선의 두 차량 간 거리를 나타내며, 차선 주행 시나리오에 따라 k값을 조정하는 차선 변경 전략을 통해, 충돌 없이 차선 변경을 완료할 수 있었음을 확인하였다. 이는 실제 도로 상황에서 발생할 수 있는 장애물 차량의 거리 조건 불확실성에 대해, 제안한 알고리즘이 유연하게 대응할 수 있음을 보여준다. 이러한 결과는 기울기 k값이 차량 조향 입력과 동적 응답에 직접적인 영향을 미치는 주요 변수임을 보여준다. 이를 통해 도로 상황에 따라 k값을 적절히 조정함으로써, 차선 변경 궤적을 유연하게 구현할 수 있음을 확인하였다.


5. 결 론

본 연구는 쌍곡 탄젠트(Tan-sigmoid) 함수를 이용해 단일 차선 변경의 선회 기준 궤적을 정의하였으며, 주행 차량(Ego vehicle)은 Preview Steering Control 제어 기법을 통해 해당 궤적을 추종하도록 설계하였다. 시뮬레이션은 직선 도로와 반경이 일정한 곡선 도로에서 수행되었으며, 주행 차량의 속도는 90 km/h로 설정하였다. 차선 변경 민감도 계수인 k값은 0.08, 0.10, 0.12로 설정하였고, k 값이 0.02 증가할 때마다 차선 변경 시점이 약 10m 앞당겨졌다. 이에 따라 조향각은 약 0.7 o, 요각속도는 약 0.75 rad/s, 횡가속도는 약 0.8 m/s2 증가하는 경향을 보였다. k값이 증가할수록 차선 변경 시점이 앞당겨지고, 이에 따른 차량의 조향 및 동적 응답이 더욱 크게 나타났다. 곡선 도로에서는 도로 곡률의 영향으로 인해, 동일한 k값에서도 직선 도로 대비 평균적으로 약 15 % ~ 20 % 더 큰 동적 응답이 관측되었다. 또한 제안된 로직의 실효성을 검증하기 위해, 1차선의 선행 및 후행 차량과 2차선 차량의 거리를 각각 30 m, 25 m, 20 m로 구성하여 차선 변경 성공 여부를 확인하였고, 이를 통해 다양한 차선 변경 시나리오를 생성할 수 있음을 확인하였다. 본 연구에서 제안된 쌍곡탄젠트 함수를 활용한 차선 변경 궤적은 구현이 비교적으로 간단하면서도 유연성이 뛰어나, 차선 변경 알고리즘 개발에 있어 새로운 접근 방향을 제시할 수 있을 것으로 기대된다. 향후 Fig. 19와 같이 1차선 선⋅후행 차량과 2차선 전방 차량의 거리가 실시간으로 변하는 실제 도로 상황의 불확실성을 반영하여, k값을 가변적으로 변화시킨 차선 변경 시나리오를 구성할 예정이다. 또한 센서 기반 판단 자율주행 알고리즘을 추가하고, HILS을 활용하여 제안된 알고리즘의 실효성을 검증할 계획이다.

Fig. 19

Variable k lane change scenario reflecting real-time inter-vehicle distance changes

Nomenclature

m : mass of the ego vehicle, kg
g : gravitational acceleration, m/s2
h : height of vehicle center of gravity, m
Vp : tire velocity, m/s
λ : slip ratio
α : slip angle, °
Fn : normal force, N
Ψ : yaw angle, rad
Ψ˙ : yaw rate, rad/s
Ψ¨ : yaw acceleration, rad/s2
Iz : yaw moment of inertia, kg⋅m2
Vx : longitudinal velocity, m/s
Vy : lateral velocity, m/s
ax : longitudinal acceleration, m/s2
ay : lateral acceleration, m/s2
Fx : longitudinal force, N
Fy : lateral force, N
δfl : steering angle of the front left wheel, rad
δfr : steering angle of the front right wheel, rad
Tf : distance between the left and right front wheels, m
Tr : distance between the left and right rear wheels, m
Lf : distance from the CG to the front axle, m
Lr : distance from the CG to the rear axle, m
M : yaw moment, N⋅m
Vy,ego : global lateral velocity of ego vehicle, m/s
Cxx : longitudinal coefficient of tire, -
Cyy : lateral coefficient of tire, -
k : friction adjustment coefficient -
Et : engine torque, N⋅m
Cy : lateral velocity gain, -
Ky : lateral position gain, -
Kθ : yaw angle gain, -
Kθ ̇ : yaw rate gain, -
β : weighting coefficient, -
μ : coefficient of static friction, -

Acknowledgments

본 과제(결과물)은 2025년도 교육부 및 전북특별자치도의 재원으로 전북RISE센터의 지원을 받아 수행된 지역 혁신중심 대학지원체계(RISE)의 결과입니다 (2025-RISE-13-KSU). 또한 군산시의 지역맞춤형 전기차 클러스터 전문인력양성사업과 교육부재원으로 한국기초과학지원연구원 국가연구시설장비진흥센터의 지원(2023R1A6C101B042)을 받아 수행하였습니다.

References

  • H. S. Lee and K. S. Yi, “Attention-LSTM Based Lane Change Possibility Decision Algorithm for Urban Autonomous Driving,” The Journal of Autovehicle Safety Association, Vol.14, No.3, pp.65–70, 2022.
  • H. S. Nam, W. S. Choi and C. S. Ahn, “Model Predictive Control for Evasive Steering of an Autonomous Vehicle,” Int. J. Automotive Technology, Vol.20, No.5, pp.1033–1042, 2019. [https://doi.org/10.1007/s12239-019-0097-5]
  • W. S. Yang, Y. P. Chen and Y. X. Su, “A Double-Layer Model Predictive Control Approach for Collision-Free Lane Tracking of On-Road Autonomous Vehicles,” Actuators, Vol.12, No.4, pp.1–19, 2023. [https://doi.org/10.3390/act12040169]
  • X. Y. Lin, J. W. Huang, B. Zhang, B. H. Zhou and Z. Y. Chen, “A Velocity Adaptive Steering Control Strategy of Autonomous Vehicle Based on Double Deep Q-Learning Network with Varied Agents,” Engineering Applications of Artificial Intelligence, Vol.139, pp.1–14, 2025. [https://doi.org/10.1016/j.engappai.2024.109655]
  • Z. W. He, L. Z. Nie, Z. S. Yin and S. Huang, “A Two-Layer Controller for Lateral Path Tracking Control of Autonomous Vehicles,” Sensors, Vol.20, No.13, pp.1–20, 2020. [https://doi.org/10.3390/s20133689]
  • H. Yin, Z. Wang, J. Liu and P. Liu, “Steer-by Wire Control Algorithm Using a Dual-layer Closed-loop Model,” Scientific Reports, Vol.14, No.1, pp.1–16, 2024. [https://doi.org/10.1038/s41598-024-79703-6]
  • J. H. Park, D. C. Kim and K. S. Huh, “Emergency Collision Avoidance by Steering in Critical Situations,” Int. J. Automotive Technology, Vol.22, No.1, pp.173–184, 2021. [https://doi.org/10.1007/s12239-021-0018-2]
  • Á. Losada, F. J. Páez, F. Luque and L. Piovano, “Effectiveness of the Autonomous Braking and Evasive Steering System OPREVU-AES in Simulated Vehicle-to-Pedestrian Collisions,” Vehicles, Vol.5, No.4, pp.1553–1569, 2023. [https://doi.org/10.3390/vehicles5040084]
  • W. S. Choi and C. S. Ahn, “Data-Based Vehicle Trajectory Prediction Model for Lane-Change Maneuver,” International Journal of Control, Automation and Systems, Vol.22, No.5, pp.1654–1665, 2024. [https://doi.org/10.1007/s12555-023-0478-4]
  • G. Li, Y. Yang, T. Zhang, X. Qu, D. Cao, B. Cheng and K. Li, “Risk Assessment Based Collision Avoidance Decision-making for Autonomous Vehicles in Multi-scenarios,” Transportation Research Part C, Vol.122, pp.1–17, 2021. [https://doi.org/10.1016/j.trc.2020.102820]
  • Y. Li, D. Zhai, J. Fan and G. Dong, “Study on Lane-change Replanning and Trajectory Tracking for Intelligent Vehicles Based on Model Predictive Control,” World Electric Vehicle Journal, Vol.14, No.9, Paper No.234, 2023. [https://doi.org/10.3390/wevj14090234]
  • C. Chen, J. Guo, C. Guo, C. Chen, Y. Zhang and J. Wang, “Adaptive Cruise Control for Cut-In Scenarios Based on Model Predictive Control Algorithm,” Applied Sciences, Vol.11, No.11, Paper No.5293, 2021. [https://doi.org/10.3390/app11115293]
  • I. M. Bîndac, S. Bradley, P. Roșca, C. Pupăză and T. Giurgiu, “Theoretical and Experimental Research on the Double Lane Change Maneuver,” MATEC Web of Conferences, Vol.373, Paper No.00054, 2022. [https://doi.org/10.1051/matecconf/202237300054]
  • J. S. Kim and D. H. Lee, “A Study on AES Performance Assessment Protocol Based on Car-to-car Cut-out Scenario According to Front Emergency Obstacle Avoidance of Preceding Vehicle during Highway Driving,” The Journal of Auto-vehicle Safety Association, Vol.14, No.4, pp.84–90, 2022.
  • A. E. Boztaş and H. Özen, “Evaluation of the Lateral Acceleration on Highway Comfort: A Case Study with University Students,” Sigma Journal of Engineering and Natural Sciences, Vol.41, No.1, pp.49–56, 2023. [https://doi.org/10.14744/sigma.2023.00006]

Fig. 1

Fig. 1
Vehicle model

Fig. 2

Fig. 2
Preview steering control

Fig. 3

Fig. 3
Control block diagram of single lane change

Fig. 4

Fig. 4
Tangent sigmoid trajectory with symmetric Xs and centered at X0

Fig. 5

Fig. 5
Reference trajectories with different k values

Fig. 6

Fig. 6
Instantaneous slope profiles for different k value

Fig. 7

Fig. 7
Response comparison between the proposed vehicle model and CarSim under steering input (longitudinal velocity = 65 km/h)

Fig. 8

Fig. 8
Single lane change sequence on a straight road (V = 90 km/h)

Fig. 9

Fig. 9
Single lane change sequence on a curved road (V = 90 km/h/R = 5000 m)

Fig. 10

Fig. 10
Single lane change sequence on a road with height variation (V = 90 km/h)

Fig. 11

Fig. 11
Steering wheel front on a straight road (V = 90 km/h)

Fig. 12

Fig. 12
Steering wheel front on a curved road (V = 90 km/h/R = 5000 m)

Fig. 13

Fig. 13
Yaw rate on a straight road (V = 90 km/h)

Fig. 14

Fig. 14
Yaw rate on a curved road (V = 90 km/h/R = 5000 m)

Fig. 15

Fig. 15
Lateral acceleration on a straight road (V = 90 km/h)

Fig. 16

Fig. 16
Lateral acceleration on a curved road (V = 90 km/h/R = 5000 m)

Fig. 17

Fig. 17
Single lane change sequence on a straight road with varying k and front vehicle distance (V= 90 km/h)

Fig. 18

Fig. 18
Single lane change sequence on a curved road with varying k and front vehicle distance (V = 90 km/h/R = 5000 m)

Fig. 19

Fig. 19
Variable k lane change scenario reflecting real-time inter-vehicle distance changes

Table 1

Reference road for straight and curved roads

Straight road Curved road
Xref,road 0 Rcosψc-π2
Yref,road 0 Rsinψc-π2+R
Ψref,road 0 modΨc, 2π

Table 2

Lane change strategy based on k values

d Relative speed k value
A d ≥ 30m Increasing 0.08
B d ≥ 25m Increasing 0.10
C d ≥ 20m Increasing 0.12