
자율레이싱을 위한 곡률 최적화 기반 경로계획
Copyright Ⓒ 2025 KSAE / 241-03
This is an Open-Access article distributed under the terms of the Creative Commons Attribution Non-Commercial License(http://creativecommons.org/licenses/by-nc/3.0) which permits unrestricted non-commercial use, distribution, and reproduction in any medium provided the original work is properly cited.
Abstract
Autonomous racing vehicle systems comprise environment perception, path planning, and path control. Among these, path planning plays a crucial role in determining efficient and stable driving trajectories based on surrounding vehicles and map information. This paper proposed an optimization-based path planning algorithm for effective autonomous racing. The featured method generates a smooth and stable trajectory using a cost function that minimizes the total curvature and curvature rate of change over the entire path. Through this approach, the method provided an optimized trajectory that simultaneously considered speed and stability. Additionally, velocity commands were generated based on the curvature of the optimized path and the maximum allowable lateral acceleration. To validate the algorithm, numerical simulations were conducted on the Motorsport Arena Oschersleben track, modeled in CarMaker and integrated with. The experimental results demonstrate the superiority of the suggested method by comparing the average speed, travel distance, and lap time against existing algorithms.
Keywords:
Autonomous driving, Curvature optimization, Path planning, Robot operating system, Virtual environment키워드:
자율주행, 곡률 최적화, 경로계획, 로봇 운영 체제, 가상 환경1. 서 론
최근 자율주행 기술이 발전하면서 다양한 환경에 대응이 가능하도록 자율주행 시스템을 설계하고 해당 시스템의 성능을 검증 및 평가하는 연구가 활발하게 진행되고 있다.1-3) 특히, 극한의 주행 조건에서 차량의 성능을 테스트할 수 있는 자율주행 레이싱이 중요한 연구 분야로 주목받고 있다.4-6) 일반적인 자율주행에서는 안전성과 승차감을 우선시하는 반면, 자율주행 레이싱에서는 최대 속도를 유지하면서도 차량의 안정성과 제어 가능성을 확보하는 것이 핵심 목표이다. 이러한 고속 주행 환경에서는 매끄러운 고속 주행 궤적을 생성하는 것이 필수적이며, 이를 실시간으로 계산해 낼 수 있는 경로 계획 알고리즘이 요구된다.
Lam 등7)은 모델 예측 컨투어링 제어(MPCC)를 도입하여 경로 이탈 최소화와 속도 최적화 사이의 균형을 유지하는 방식을 제안하였다. 기존의 MPC 기반 경로 추종 기법과 달리, MPCC는 단순히 주어진 경로를 따르는 것이 아니라 최적의 주행 속도를 고려한 동적 조정이 가능하다. 이를 통해 차량 제약을 반영하면서도 보다 공격적인 주행이 가능하다. 그러나 MPCC는 사전에 정의된 목표 궤적이 필요하므로, 예측 불가능한 환경 변화에 즉각적으로 대응하기 어려운 한계가 있다. 또한 비선형 최적화의 높은 계산 비용으로 인해 실시간 적용이 어려울 수 있다.
Li 등8)은 레이싱 서킷에서 최소 랩타임을 달성하기 위해 오프라인-온라인 계층 구조의 시간 최적 경로 계획 및 추종(Time-Optimal Trajectory Planning and Tracking, TOTPT) 프레임워크를 제안하였다. 직접 결합(Direct collocation) 기반의 오프라인 Trajectory optimization 모듈에서 차량 동역학과 트랙 제약을 포함해 경로⋅속도⋅제어입력을 동시에 최적화하고, 이후 온라인 단계에서 비선형 모델 예측 제어(NMPC) 모듈이 해당 궤적을 추종한다. 그러나 본 기법은 대규모 오프라인 최적화에 의존해 실시간 경로 재계산이 어려워 사전에 알려지지 않은 장애물이나 상대차량에 대한 대처가 어렵다는 한계가 있다.
Vázquez 등9)은 최적화 기반 계층적 모션 플래닝 기법을 제안하여, 랩 타임 최소화를 위한 오프라인 최적화와 실시간 주행 경로 추종을 분리하는 방식을 도입하였다. 상위 단계에서 플래너 전체 트랙의 최적의 경로를 계산하고, 하위 단계에서 비선형 모델 예측 제어(NMPC) 기법이 이를 실시간으로 추종하는 구조를 적용하였다. 이러한 계층적 접근법은 실시간 연산 부담을 줄이면서도 최적 주행 성능을 유지할 수 있도록 설계되었다. 그러나 경로계획에서 사용하는 차량 모델과 NMPC에서 활용하는 차량 모델이 달라 실제 차량이 해당 경로를 추종하지 못할 가능성이 존재한다.
Bonab과 Emadi10)는 선형 근사화를 적용한 재귀적 최적화 기반 경로 계획 기법을 제안하였다. 차량이 관측 가능한 경로를 따라 이동할 때 주어진 구간 내에서 최적의 곡률 분포를 계산하여 주행 안정성과 주행 시간 최소화를 모두 고려한 경로를 생성한다. 본 연구는 경로계획을 볼록 최적화 문제로 정식화하여 계산 비용을 줄이고 실시간 적용 가능성을 높였다는 점에서 강점을 가진다. 또한, 비선형 공간 모델을 선형화하여 연산 속도를 개선하는 방법을 제안하였다. 그러나 최적화 과정에서 속도 변화에 대한 고려 없이 경로 자체만을 최적화하므로, 실제 차량의 동적 응답을 반영하기 어려울 수 있다.
결론적으로 자율주행 레이싱을 위한 경로계획 기법은 주행 안정성과 주행시간 최소화를 모두 달성할 수 있는 경로를 실시간으로 도출하는 것이 목표라고 볼 수 있다.
본 연구의 주요 목적은 장애물의 개입이 없다고 가정할 때, 차량의 주행 시간을 단축하고 주행 안정성을 보장할 수 있는 경로를 생성하는 것이다. 이를 위해 효율적이고 안정적인 주행 경로를 실시간으로 생성하는 최적화 기반 경로 계획 알고리즘을 제시한다. 제안된 방법은 경로의 곡률 총합과 곡률 변화율을 최소화하는 비교적 단순한 형태의 최적화 문제를 정식화하여, 차량이 부드럽고 안정적으로 주행할 수 있는 경로를 실시간으로 생성할 수 있도록 한다. 또한, 최적화된 경로의 곡률과 차량의 최대 속도, 최대 허용 횡방향 가속도를 활용하여 차량의 구속 조건을 고려한 속도 명령을 생성한다.11)
레이싱 환경에서 효과적인 경로계획 기법을 개발하기 위한 과정은 다음과 같다. 먼저, 차량 및 주행 경로를 공간 영역에서 표현하는 차량 공간 모델을 정의한다. 해당 모델은 주행 경로와 곡률이 갖고 있는 관계를 명시적으로 나타낸다. 다음으로, 차량 공간 모델과 사전 정의된 트랙 정보를 바탕으로 앞서 설명한 형태의 최적화 기반 경로계획 및 속도 명령 생성을 수행한다. 마지막으로 제안한 기법의 타당성을 검증하기 위해 CarMaker12)와 ROS(Robot Operating System)을 통합한 환경에서 시뮬레이션을 진행한다. 이때, Bonab과 Emadi가 제안한 기법과의 비교를 통해 해당 기법의 우수성을 보인다.
본 논문의 2장에서는 차량 공간 모델을 정의하고, 3장에서 최적화 기반 경로계획 기법 및 속도 명령 생성 기법을 구체적으로 설명한다. 4장에서는 CarMaker 시뮬레이션을 진행한 후 결과를 분석하고 5장에서 해당 연구의 결론을 서술한다.
2. 차량 공간 모델
본 논문에서는 독일의 Motorsports Arena Oschersleben 트랙 정보를 활용하여 경로계획 연구를 진행한다.13) Fig. 1은 해당 트랙의 형상 및 차선 정보를 나타내고 있다. 이때, 트랙의 차선 및 주행 가능 영역, 주행 차량의 위치 등 다양한 정보를 효과적으로 표현하고 수치적으로 처리하기 위해 이산화를 활용한 차량 경로 표현 기법을 적용하였다. 이 장에서는 이러한 접근 방식의 수학적 근거와 구체적 적용 방법을 설명한다.
2.1 이산 공간 영역 모델
일반적으로 주행 경로 상의 차량의 위치를 공간 영역에서 표현하면 다음과 같은 연속 방정식의 형태로 표현할 수 있다.
| (1) |
| (2) |
| (3) |
여기서, s는 주행 거리를 나타낸다. 또한, 차량 경로 z(s)=(x(s),y(s))와 차량 진행 방향 θ(s)는 경로 곡률 κ(s)와 초기 차량 상태 (x(s0),y(s0),θ(s0))에 대한 함수로 표현할 수 있다. 하지만, 이러한 연속적 표현 방식은 실제 주행 환경에 적용하기에 여러 가지 한계가 존재한다.
실제 주행 트랙 정보는 연속적인 곡률 함수의 형태로 제공되지 않으며, 수치 적분 과정에서 누적 오차가 발생할 수 있어 실시간 계산에 적합하지 않다. 따라서 실제 환경에 적용 가능한 경로 표현을 위해 이산화를 적용하여 차량의 주행 경로를 수치적으로 계산한다.
이산적 모델에서는 차량이 주행하고자 하는 경로를 유한한 점들의 집합으로 표현한다. 즉, 경로는 개별적인 점 zi = (xi,yi)의 연속으로 구성되며, 각 점에서의 진행 방향 θi 및 곡률 κi를 정의할 수 있다. 이를 위해 먼저 차량이 가고자하는 경로를 구성하는 경로점들의 간격 ∆si가 충분히 작다고 가정한다. 이때, 차량의 초기 상태와 주행 경로의 곡률 벡터 K = [κ0, κ1, ..., κN-1]T가 주어지면 차량의 이동 경로를 Z = [z0, z1, ..., zN]T와 같은 형태로 계산할 수 있다.
결론적으로 i = 0,1, ..., N-1에 대해서 경로를 계산하는 과정은 다음과 같은 이산화 된 방정식 형태로 표현할 수 있다.
| (4) |
| (5) |
| (6) |
해당 연구에서 ∆si는 이미 알고 있는 Motorsports arena oschersleben 트랙의 중앙선 경로점 간격 정보를 활용한다.
2.2 모델 선형화
식 (4), (5)는 곡률에 대해 비선형적인 구조를 가지고 있다. 최적화 문제에서 비선형성은 문제의 복잡성을 증가시키고 이는 연산 성능의 저해하는 주요 요인이 된다. 실시간성과 정확성이 매우 중요한 레이싱 상황을 고려할 때, 해당 모델을 선형화하는 과정이 필요하다. 이를 위해 Taylor series를 적용하여 선형 근사 모델을 작성한다.
Fig. 3은 식 (4), (5)를 선형화하기 위한 곡률 평형점을 중앙선 경로점을 활용하여 도출하는 과정을 나타내고 있다. 이 과정에서 Fig. 3에 표현 되어있는 것처럼 트랙 중앙선 경로점 Zd = [zd0, zd1, ...,zdN]를 통해 국소 외접원의 곡률 = [0,1, ..., N-1]이 도출된다. 이때 계산된 곡률 = [0,1, ..., N-1]이 곡률 평형점이 되며 해당 결과를 바탕으로 식 (4), (5)에 대해 선형화를 진행한다. 결론적으로 최적화 문제 정식화를 위한 공간 영역에서의 이산 선형 모델은 i = 0,1, ..., N-1에 대해서 다음과 같다.
| (7) |
| (8) |
| (9) |
| (10) |
3. 경로 및 속도계획 기법
이 장에서는 레이싱 환경에서 차량의 경로를 최적화하기 위해 주행경로의 곡률 총합과 곡률 변화율 최소화를 목표로 한 최적화 기반 경로계획 방법론을 제시한다. 또한, 이를 통해 도출된 경로의 곡률을 기반으로 수행하는 속도계획 방법론을 제안한다.
3.1 최적화 기반 경로계획
레이싱 상황에서 경로계획의 주요 목표는 고속 주행 시 차량의 주행 안정성 확보와 주행 시간 단축을 동시에 달성할 수 있는 경로를 생성하는 것이다. 이는 주행 시 조향 장치의 개입을 최소화 할 수 있는 경로를 생성하는 문제로 생각할 수 있다. 이를 위해 최적화 문제의 비용함수를 설계할 때 두 가지를 고려한다. 먼저, 경로의 곡률 총합을 최소화하는 항을 설정한다. 이는 최대 속력으로 주행할 수 있는 직진 구간을 최대한 확보하여 주행 시간을 단축하는 목적을 가지고 있다.
| (11) |
식 (11)은 주행 경로 전체 곡률에 대한 이차 형태로 이를 최소화함으로써 주행 시간 단축이라는 목적을 가능하게 한다. 다음으로 고려할 부분은 주행 안정성이다. 주행 경로 전체의 곡률이 최소화 되더라도 급격하게 변화하는 곡률을 가진 경로에서 차량은 높은 속력으로 안정적인 주행을 수행할 수 없다. 따라서 비용함수에 급격한 곡률 변화를 억제하기 위한 항을 추가한다.
| (12) |
마지막으로 생성되는 경로가 트랙을 벗어나지 않도록 차선정보를 활용하여 구속조건을 Fig. 4와 같은 1차 함수 형태로 설정한다.
결론적으로, 본 논문에서 제안하는 최적화 기반 경로 계획 문제의 비용함수는 식 (11), (12)를 기반으로 다음과 같이 정의된다.
| (13) |
여기서 N은 도출하려고 하는 경로점의 개수이고 λ는 가중치 매개변수이다. 해당 비용함수는 이산 공간 영역 모델을 통한 경로생성을 위해 식 (7), (8)을 등식 구속조건으로 갖고, 차선 유지를 위해 다음과 같은 부등식 구속조건을 갖는다.
| (14) |
여기서 Ali, Ari, Cli, Cri는 경로점 zi를 기준으로 좌우 차선에 의해 계산되는 접선의 방정식을 이루는 계수 행렬이다.
3.2 곡률 기반 속도계획
앞선 최적화 기반 경로계획의 결과로 추종하려는 주행경로를 구성하는 각 경로점들의 곡률을 계산할 수 있다. 이를 바탕으로 차량 구속조건을 고려하는 속도 명령을 계획한다. 먼저, 차량의 최대 속도 vmax를 설정한다. 이후 차량이 미끄러질 때 발생하는 횡방향 가속도의 최대 허용값을 aNmax라고 하면, 추종하고자 하는 경로점에 대한 속도 명령은 다음과 같이 구할 수 있다.
| (15) |
여기서, κi-1, κi, κi+1은 추종하는 경로점 기준으로 직전 경로점 곡률, 현재 경로점 곡률, 다음 경로점 곡률을 나타낸다. 경로점 선택은 현재 주행 속도에 비례하는 형태로 진행된다.
4. 실험 결과
이 장에서는 제안한 기법의 타당성을 검증하기 위해 CarMaker 소프트웨어와 ROS를 통합한 가상환경 모델을 구축하고, 시뮬레이션을 통해 제안된 기법의 타당성을 검증한다.
4.1 가상환경 모델
CarMaker는 IPG Automotive에서 개발한 차량 동역학 시뮬레이터로, 정밀한 차량 거동 모델과 다양한 주행 환경을 재현할 수 있다. HILS(Hardware-in-the-Loop Simulation) 및 SILS(Software-in-the-Loop Simulation) 테스트를 지원하여 자율주행 알고리즘 검증이 가능하며, 도로, 날씨, 교통 상황 등의 복합 시뮬레이션을 제공한다. 또한 센서 시뮬레이션 기능을 통해 LiDAR, 카메라, 레이더 등의 데이터를 생성하여 ROS 및 MATLAB/Simulink와 연계 가능하다. 이를 통해 자율주행 시스템의 개발 및 검증을 효과적으로 수행할 수 있으며, 실제 도로 테스트 이전에 다양한 시나리오를 검증하여 비용과 시간을 절감할 수 있다.
한편, ROS는 오픈소스 소프트웨어 프레임워크로, 다양한 센서와 액추에이터의 연동을 통해 로봇 및 자율주행 시스템 개발에 기여한다. 노드 기반 모듈화 구조로 복잡한 기능을 분산 처리하며, SLAM, 경로 계획 등 여러 패키지를 제공해 연구와 실무에 폭넓게 활용된다. 또한, 다양한 시뮬레이터와 연계해 현실과 유사한 테스트 환경을 지원한다.
해당 연구에서는 신뢰도 있는 가상환경을 구축하기 위해 Motorsports arena oschersleben 트랙 환경을 CarMaker를 활용해 구현하고, 자율주행 시스템을 ROS를 통해 개발한 후 이를 통합하여, 시뮬레이션을 진행한다. 이와 같이 CarMaker와 ROS를 연동하여 시뮬레이션을 수행하는 구조는 다수의 연구에서 채택하고 있는 형태이다.15-17) 시뮬레이션에서 사용되는 차량은 현대자동차의 IONIQ 5를 활용하였으며, 자율주행 시스템의 제어 기법은 차량의 동역학 모델과 Pole-placement 기법18)을 활용하여 제어 이득을 계산한 PID 제어기를 활용한다. 이때, 해당 제어 시스템의 기준 극점(reference pole)은 10 % 오버슈트와 1초의 정착시간을 고려하여 설정한다(p =-4.00 ± 5.46j). 또한, 유사한 최적화 경로계획 기법인 Bonab과 Emadi와 주행 성능을 비교하여 제안한 기법의 타당성을 검증한다.
한편, 본 연구에서 제안하는 최적화 문제는 CVXPY19)를 활용하여 문제를 정식화하고 최적해를 도출한다. CVXPY는 Python에서 수식 그대로의 형태로 선형⋅이차⋅준컨벡스 최적화 문제를 기술할 수 있게 해 주는 라이브러리다. 사용자는 변수, 목적 함수, 구속조건을 Python 문법에 맞는 코드 형태로 선언하고 사전에 지정된(또는 기본으로 설정된) 솔버를 호출하면, 자동으로 최적해를 계산한다. 일관된 표현으로 다양한 솔버를 사용할 수 있는 장점 덕분에 최적화 문제 해결에 많이 사용되고 있다.20-22)
4.2 시뮬레이션 결과 분석
본 연구에서는 차량이 트랙을 한 바퀴 돌았을 때의 주행시간, 평균 주행속도, 주행거리를 측정하여 제안한 기법의 타당성을 검증한다. 사전에 주어진 트랙의 중앙선 경로점 간격은 약 5 m이며, 최적화 문제를 통해 도출하는 경로점 개수 N = 18이다. 이는 현재 위치를 기준으로 약 90m의 최적 경로를 실시간으로 생성하고 있음을 의미한다. 또한, 시뮬레이션 환경에서 주행 차량의 최대 속도 vmax =33.33 m/s이며, 횡방향 가속도의 최대 허용값은 aNmax = 3.0m/s2이다. 여기서 Table 1과 Fig. 6의 Reference는 Bonab과 Emadi가 제시한 경로계획 기법을 의미한다.
먼저, Table 1은 제안한 기법과 Reference의 주행거리, 속도의 평균, 표준편차, 최댓값, 최솟값, 주행시간을 비교하여 나타내고 있다. 제안한 기법이 Reference와 비교했을 때 짧은 주행거리를 보이며, 빠른 평균 속도를 가진다. 또한 주행시간에서도 제안한 기법이 더 단축된 기록을 보임을 알 수 있다. 속도의 최솟값은 차량이 최초로 감속하는 시점 이후의 속도 측정값들 중에서 가장 작은 값을 나타낸 것이다. 해당 지표에서 Reference가 더 높은 값을 보이지만 평균과 표준편차 값을 볼 때, 전반적인 구간에서 제안한 기법이 더 높은 속도를 보이고 있음을 알 수 있다.
Fig. 6은 제안한 기법과 Reference의 주행 궤적을 나타내고 있다. Reference는 곡률에 대한 2차 미분계수를 최소화하는 형태를 취하고 있기 때문에 직진 구간에 진입했을 때 즉시 가속하기 어려운 형태의 궤적을 그리고 있다. 반면에 제안한 기법은 직진 구간에 진입과 동시에 가속하기 유리한 형태의 궤적을 보인다. 이는 제안한 기법이 생성하는 경로가 최고 속도에 근접하여 주행하기 유리함을 알 수 있다.
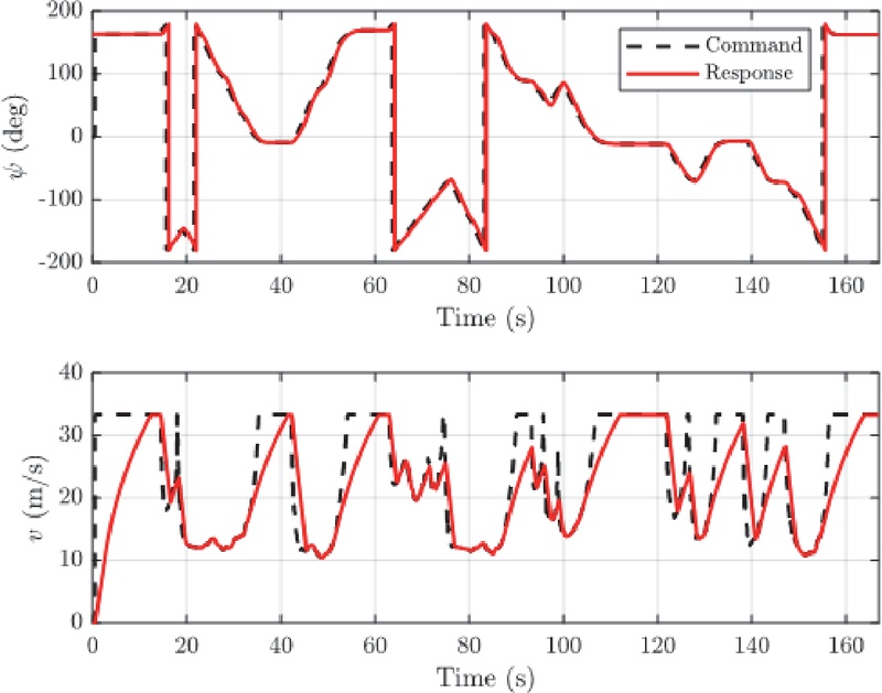
한편, Fig. 7은 차량의 횡방향, 종방향 제어에 대한 응답선도이다. 이를 통해 제안한 기법을 통해 생성하는 제어 명령이 불안정한 움직임을 유발하지 않고, 시뮬레이션에 활용된 자율주행 시스템의 제어기가 정상적으로 작동하고 있음을 알 수 있다. 이때, 제안한 기법이 주행 안정성을 제대로 보장하고 있는지 보다 구체적으로 확인하기 위해, 제어 응답 데이터와 추가적인 차량의 상태 정보 데이터를 통해 G-G 다이어그램을 작성하고 주행 안정성이 제대로 보장 되었는지 확인한다.
G-G 다이어그램은 주행 중인 차량에 가해지는 종방향, 횡방향 가속도를 표현하는 기법이다.23) 일반적으로 세로축에 종방향 가속도, 가로축에 횡방향 가속도를 나타내며 차량의 구동 성능을 한계치까지 파악하고 이를 바탕으로 사용자 목적에 맞는 제어기를 설계하는데 많이 이용된다. Fig. 8은 해당 연구에서 제안한 기법을 기반으로 주행한 차량의 G-G 다이어그램을 나타내고 있다. 주행 시 차량의 상태 정보 데이터는 0.01초 간격으로 측정되고 있으며, 해당 시점의 종방향, 횡방향 가속도를 Fig. 8과 같이 나타낸 것이다. 99 % 이상의 데이터가 반지름이 1 g인 영역 이내에 존재하고 있고, Betz 등24), Ni와 Hu25)의 연구 결과와 비교해봤을 때 제안한 기법을 기반으로 주행한 차량에 가해지는 가속도의 범위가 더 작은 것을 확인할 수 있다. 이를 통해 해당 차량이 안정적인 주행 성능을 보임을 알 수 있다.
요약하자면, 동일한 제어기가 적용된 자율주행 시스템에서 제안한 기법이 Reference에 비해 좋은 평가 지표를 보이며 안정적으로 주행함을 확인하였다. 따라서 제안한 기법이 자율주행 레이싱에 적합한 경로계획 기법임을 알 수 있다.
5. 결 론
본 논문에서는 자율주행 레이싱을 위한 최적화 기반 경로계획 기법을 제안하였다. 이를 위하여 공간 영역에서 차량 및 주행 경로의 이산 선형 모델을 정의하고, 곡률의 총합과 곡률 변화율을 최소화하는 경로계획 문제를 정식화한다. 정식화된 경로계획 문제의 최적해를 도출하기 위해 CVXPY를 활용한다. 또한, 계산된 최적 경로의 곡률을 기반으로 속도 명령을 생성한다. 모든 과정은 사전 정의된 Motorsports arena oschersleben 트랙 정보를 기반으로 수행된다. 제안한 기법의 타당성을 검증하기 위해서 CarMaker와 ROS를 통합한 형태의 가상환경을 구축하였고, 구축된 가상환경에서 자율주행 시뮬레이션을 수행하였다. 제안한 기법의 시뮬레이션 결과를 Bonab과 Emadi과 비교 및 분석하여 본 논문에서 제안한 기법이 자율주행 레이싱에 적합한 성능을 보장할 수 있음을 확인하였다.
Nomenclature
| s : | arc length, m |
| x, y : | position coordinates, m |
| θ : | heading angle, rad |
| : | equilibrium heading angle, rad |
| κ : | curvature of the path, m-1 |
| : | equilibrium curvature of the path, m-1 |
Subscripts
| i : | index of waypoints |
Acknowledgments
본 논문은 2021년도 산업통상자원부 및 한국산업기술평가관리원(KEIT) 연구비 지원(20014121)을 받아 수행된 연구임.
References
-
C. Park and S. C. Kee, “Implementation of Autonomous Driving System in the Intersection Area Equipped with Traffic Lights,” Transactions of KSAE, Vol.27, No.5, pp.379–387, 2019.
[https://doi.org/10.7467/KSAE.2019.27.5.379]
-
W. Kang, J. Jo, M. Lee, D. Kang, M. Hyun and S. Heo, “A Study on the Methodology to Develop Virtual Drive Environment for Autonomous Driving Evaluation,” Transactions of KSAE, Vol.29, No.6, pp.547–556, 2021.
[https://doi.org/10.7467/KSAE.2021.29.6.547]
-
J. H. Kim and S. C. Kee, “A Research on the ODD and OEDR Guidelines Based on the Demonstration Case of Autonomous Driving in Sejong City,” Transactions of KSAE, Vol.28, No.10, pp.659–668, 2020.
[https://doi.org/10.7467/KSAE.2020.28.10.659]
- M. O'Kelly, H. Zheng, D. Karthik and R. Mangharam, “F1tenth: An Open-Source Evaluation Environment for Continuous Control and Reinforcement Learning,” Proceedings of Machine Learning Research, No.123, 2020.
-
A. Liniger and J. Lygeros, “A Noncooperative Game Approach to Autonomous Racing,” IEEE Transactions on Control Systems Technology, Vol.28, No.3, pp.884–897, 2019.
[https://doi.org/10.1109/TCST.2019.2895282]
-
J. Betz, H. Zheng, A. Liniger, U. Rosolia, P. Karle, M. Behl and R. Mangharam, “Autonomous Vehicles on the Edge: A Survey on Autonomous Vehicle Racing,” IEEE Open Journal of Intelligent Transportation Systems, Vol.3, pp.458–488, 2022.
[https://doi.org/10.1109/OJITS.2022.3181510]
-
D. Lam, C. Manzie and M. Good, “Model Predictive Contouring Control,” 49th IEEE Conference on Decision and Control (CDC), pp.6137–6142, 2010.
[https://doi.org/10.1109/CDC.2010.5717042]
-
J. T. Li, C. K. Chen and H. Ren, “Time-Optimal Trajectory Planning and Tracking for Autonomous Vehicles,” Sensors, Vol.24, No.11, Paper No.3281, 2024.
[https://doi.org/10.3390/s24113281]
-
J. L. Vázquez, M. Brühlmeier, A. Liniger, A. Rupenyan and J. Lygeros, “Optimization-Based Hierarchical Motion Planning for Autonomous Racing,” 2020 IEEE/RSJ International Conference on Intelligent Robots and Systems (IROS), pp.2397–2403, 2020.
[https://doi.org/10.1109/IROS45743.2020.9341731]
-
S. A. Bonab and A. Emadi, “Optimization-Based Path Planning for an Autonomous Vehicle in a Racing Track,” IECON 2019-45th Annual Conference of the IEEE Industrial Electronics Society, Vol.1, pp.3823–3828, 2019.
[https://doi.org/10.1109/IECON.2019.8926856]
-
M. Wang, Q. Liu and Y. Zheng, “A Curvature-Segmentation-Based Minimum Time Algorithm for Autonomous Vehicle Velocity Planning,” Information Sciences, Vol.565, pp.248–261, 2021.
[https://doi.org/10.1016/j.ins.2021.02.037]
- IPG CarMaker, “CarMaker Product,” https://ipg-automotive.com/en/products-solutions/software/carmaker/, .
- TUM, “Racetrack-Database,” https://github.com/TUMFTM/racetrack-database, , 2020.
-
S. Taherian, K. Halder, S. Dixit and S. Fallah, “Autonomous Collision Avoidance Using MPC with LQR-Based Weight Transformation,” Sensors, Vol.21, No.13, Paper No.4296, 2021.
[https://doi.org/10.3390/s21134296]
-
S. Kim and J. Shin, “Optimization-Based Path Planning Algorithm with Finite Traversable Area,” 2023 IEEE 26th International Conference on Intelligent Transportation Systems (ITSC), pp.3311–3316, 2023.
[https://doi.org/10.1109/ITSC57777.2023.10422045]
-
I. Silva, H. Silva, F. Botelho and C. Pendão, “Realistic 3D Simulators for Automotive: A Review of Main Applications and Features,” Sensors, Vol.24, No.18, Paper No.5880, 2024.
[https://doi.org/10.3390/s24185880]
-
H. Choi, D. Yu and S. -H. Hwang, “Simulation Environment Configuration of Autonomous Driving Software Platform Using Driving Simulator,” 2020 IEEE International Conference on Control, Automation and Diagnosis (ICCAD), pp.1–4, 2020.
[https://doi.org/10.1109/ICCAD49821.2020.9260567]
-
H. Du, X. Hu and C. Ma, “Dominant Pole Placement with Modified PID Controllers,” International Journal of Control, Automation and Systems, Vol.17, pp.2833–2838, 2019.
[https://doi.org/10.1007/s12555-018-0642-4]
- S. Diamond and S. Boyd, “CVXPY: A Python-Embedded Modeling Language for Convex Optimization,” Journal of Machine Learning Research, Vol.17, No.83, pp.1–5, 2016.
-
E. Luxenberg, D. Malik, Y. Li, A. Singh and S. Boyd, “Specifying and Solving Robust Empirical Risk Minimization Problems Using CVXPY,” Journal of Optimization Theory and Applications, Vol.202, No.3, pp.1158–1168, 2024.
[https://doi.org/10.1007/s10957-024-02491-6]
-
N. Wang, Y. Wang, X. Kong and L. Yan, “Python Implementation and Analysis of Quadratic Optimization Algorithm in Quantitative Investment Strategy,” Proceedings of the 2024 5th International Conference on Big Data Economy and Information Management, pp.1170–1174, 2024.
[https://doi.org/10.1145/3724154.3724343]
- A. Agrawal, B. Amos, S. Barratt, S. Boyd, S. Diamond and J. Z. Kolter, “Differentiable Convex Optimization Layers,” Advances in Neural Information Processing Systems 32 (NeurIPS), pp.9562–9574, 2019.
-
R. S. Rice, “Measuring Car-Driver Interaction with the GG Diagram,” SAE Technical Paper, No.730018, 1973.
[https://doi.org/10.4271/730018]
-
J. Betz, A. Heilmeier, A. Wischnewski, T. Stahl and M. Lienkamp, “Autonomous Driving—A Crash Explained in Detail,” Applied Sciences, Vol.9, No.23, Paper No.5126, 2019.
[https://doi.org/10.3390/app9235126]
-
J. Ni and J. Hu, “Dynamics Control of Autonomous Vehicle at Driving Limits and Experiment on an Autonomous Formula Racing Car,” Mechanical Systems and Signal Processing, Vol.90, pp.154–174, 2017.
[https://doi.org/10.1016/j.ymssp.2016.12.017]








