
머신러닝을 이용한 디젤엔진용 오일의 수명예측 방법
Copyright Ⓒ 2025 KSAE / 235-01
This is an Open-Access article distributed under the terms of the Creative Commons Attribution Non-Commercial License(http://creativecommons.org/licenses/by-nc/3.0) which permits unrestricted non-commercial use, distribution, and reproduction in any medium provided the original work is properly cited.
Abstract
This paper proposed a methodology to predict the residual life of engine oil using engine operation time, coolant temperature, and outside temperature collected from a vehicle using a machine learning model. The prediction performance of Decision Tree Regressor, Random Forest Regressor, and Gradient Boosting Regressor were compared. Random Forest Regressor exhibited the lowest prediction error, and its parameters were optimized using Bayesian optimization method. The driving distance of a vehicle was estimated based on the condition of engine oil, and a methodology to predict the residual life of engine oil was presented by calculating the remaining usable driving distance of engine oil through comparison with the driving distance threshold.
Keywords:
Residual life, Engine oil, Coolant temperature, Random Forest Regressor, Bayesian optimization키워드:
잔여수명, 엔진오일, 냉각수 온도, 랜덤포레스트 회기모델, 베이지안 최적화1. 서 론
현재 국방에서 추진하고 있는 상태기반정비(CBM+, Condition Based Maintenance Plus)기술은 무기체계에서 생성되는 센서데이터를 분석하여 체계 및 주요 부품의 실시간 상태를 확인하고 최적의 정비시점을 예측하는 기술이다.1) 국방부에서는 총수명주기관리업무훈령을 제정하여 무기체계 소요제기부터 체계개발/양산까지 상태기반정비를 적용할 것을 의무화 하였고,1) 2022년에는 무기체계 CBM+ 특화연구센터가 출범하여 지상/함정/항공/방호/화력 무기체계별 상태기반정비 기술을 개발하고 있다.2) 본 연구에서는 지상무기체계용 엔진오일의 상태를 확인하고 수명을 예측하는 방법을 기술하고자 한다.
엔진오일은 내연기관 수송기기의 주요 소모품으로 적정 교체시기를 놓치면 오일 부족으로 인한 윤활작용 저하 및 엔진 주요 부품의 마찰 마모 증가를 야기시킬 수 있으며, 반대로 교환이 너무 잦을 경우 비용 증가 및 폐 엔진오일에 의한 환경오염이 유발될 수 있다.3) 따라서 적절한 시점에서의 엔진오일 교체는 엔진 및 체계의 가동률을 유지하고, 정비 비용을 절감하는 중요한 요소이다. 그러나 일반 자동차 제조사와 마찬가지로 지상무기체계용 엔진오일은 체계 운용 이력 및 환경에 상관없이 특정시점(특정주행거리 또는 특정가동시간)이 도래하면 교체할 것으로 명시되어 있다. 수십대의 지상무기체계를 운용하는 부대에서는 각기 다른 주행거리와 운용패턴을 갖는 지상무기체계의 엔진오일을 특정시점에 교체하는데 어려움을 겪고 있다. 이에 따라 주행거리기준이 아닌 엔진오일의 상태에 따른 교환 시점을 예측하는 연구의 중요성이 대두되었다.
센서 및 장비를 이용하여 주행거리에 따른 엔진오일의 상태를 확인하려는 연구가 많이 진행되었는데, 김만재 등4)은 엔진오일 레벨게이지에 소형 커패시터 센서를 장착하여 주행거리 증가에 따라 엔진오일이 열화되면서 전기용량이 변화함을 확인하였다. 전상명5)은 오일필터 일체형 오일열화감지센서를 개발하여 신유와 사용유의 유전상수를 비교 측정하여 엔진오일의 열화정도를 판단하였다. 김영환 등6)은 점도측정장비를 이용하여 엔진오일 종류에 관계없이 주행전/후 엔진오일 점도가 감소함을 확인하였다. Zhu 등7)도 주행거리 변화에 따라 점도(Viscosity), 전염기가(TBN, Total Base Number)가 변화함을 확인하고, 이를 기반으로 엔진오일 수명을 예측하려는 연구를 진행하였다.
본 연구에서는 별도의 센서를 장착하지 않고, 지상무기체계에서 출력되는 냉각수 온도 데이터를 활용하여 엔진오일의 점도를 예측하고자 한다. 엔진오일의 점도는 엔진내부 마찰에 영향을 주는 주요인자로써 엔진오일의 교체 시기를 나타내는 대표적인 물리적 특성이다.8) Jung과 Yu9)는 자동차 OBDII에서 계측한 냉각수 온도상승량과 외기온도 정보를 토대로, 수학적 상관식과 인공신경망 모델을 이용하여 온도에 따른 엔진오일의 점도를 예측하는 방법을 제시하였다. 이를 통해 열화에 의한 엔진오일의 물리적 특성 변화를 측정할 수 있다. 본 연구에서는 이 방법론을 지상무기체계로 적용하여 체계용 엔진오일의 점도예측 모델을 생성하고, 나아가 엔진오일의 상태에 따른 수명을 제시하고자 한다.
2. 데이터 수집 및 분석
2.1 냉각수 온도 계측
국내에서 운용중인 지상무기체계 15대에 대하여 엔진 공회전시 냉각수 온도를 계측하였다. 계측 대상 무기체계의 구체적 제원은 군사기밀이라 밝힐 수 없고, 본 논문에서는 Vehicle number #1 ~ #15로 표시하였다. 15대 각각 엔진오일 교환 이후 주행거리와 가동시간이 다르고, 총 3회에 걸쳐 3 ~ 8월 사이에 계측하였기 때문에 계측 당시의 외기온도도 다르다. Fig. 1은 15대 지상무기체계의 호기(Vehicle number)별 계측시점에서의 주행거리(Mileage), 가동시간(Operating time), 외기온도(Air temperature)를 보여준다. Fig. 1(a) 주행거리(Mileage) 약 5 km부터 약 283 km까지 분포하고 있고, Fig. 1(b) 가동시간은 약 3시간부터 약 189시간까지 분포하고 있다. Fig. 1(c)는 외기온도를 보여주는데, 외기온도가 약 12 ~ 21 oC인 봄철과 약 28 ~ 32 oC의 여름으로 구분됨을 알 수 있다. Fig. 2는 주행거리와 가동시간의 상관성 확인을 위한 1차 선형회귀모델을 보여주고 있고, 이때 결정계수(R2)는 0.69로 주행거리와 가동시간의 상관성이 매우 높은 수준은 아닌 것으로 나타났다.
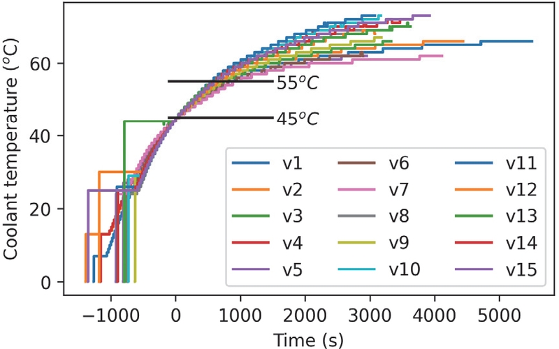
Fig. 3은 지상무기체계 15대에서 엔진 공회전시 계측한 냉각수 온도(Coolant temperature)를 보여준다. 데이터 경향을 보다 명확하게 판단하기 위하여 Time = 0 s에서 냉각수 온도가 45 oC가 되도록 측정데이터를 시간축 기준으로 이동하였다. 여름철 외기온도 약 29 oC에서 냉각수 온도를 계측한 v13차량의 경우 냉각수 온도의 시작점이 약 44 oC이고, 봄철 외기온도 약 18 oC에서 계측한 v7차량의 냉각수 온도는 60 oC에 이르러 상승속도가 현격하게 줄어들고 있다. Fig. 3에서 차량별로 냉각수 온도 상승 속도가 다르게 나타나고 있고, 본 연구에서는 냉각수 온도가 45 oC에서 55 oC로 상승할 때까지 소요된 시간을 냉각수 특성치(Coolant characteristic)로 정의하였다.
Fig. 4(a), (b), (c)는 각각 주행거리, 가동시간, 외기온도에 따른 냉각수 특성치 변화 양상을 보여준다. Fig. 4(a)에서 주행거리 약 80 km 부근에서 서로다른 냉각수 특성치 5개가 분포하고 있다. 이는 주행거리가 동일하더라도 체계 운용 이력 또는 정비 상태에 따라 엔진오일 특성이 다름을 보여준다. Fig. 4(b)에서도 가동시간 50 ~ 100시간 구간에 냉각수 특성치 8개가 분포해 있고, Fig. 4(a)와 마찬가지로 가동시간이 비슷하다고 엔진오일 특성이 비슷할 것이라는 예상에서 완전히 벗어난 데이터가 계측되었다. 한편, Fig. 4(c) 에서는 외기온도가 증가할수록 냉각수 특성치가 감소하는 반비례 경향이 나타나고 있고, 따라서 오일 상태진단시 외기온도를 반드시 고려해야 한다.
2.2 엔진오일 점도 측정
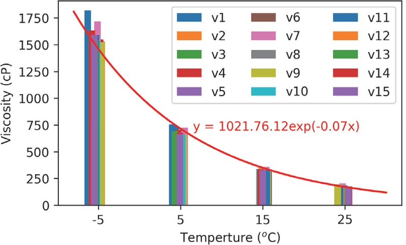
2.1절에 수행한 주행거리별 냉각수 온도 계측이 종료된 후 엔진오일을 채취하여 Fig. 5의 브룩필드社의 DV2T 점도계를 이용하여 동점도(Kinetic viscosity)를 측정하였다. 이때, 점도계를 항온 챔버안에 위치시켜 엔진오일의 온도를 -5, 5, 15, 25 oC로 변화시킴으로써 외기온도 변화에 의한 점도변화를 고려하였다. Fig. 6은 지상무기체계 15대에서 추출한 엔진오일에 대한 온도별 점도변화를 보여준다. 각 온도구간에서는 차량별로 점도가 다르게 나타나지만, 전반적으로 온도가 상승할수록 점도가 지수함수의 형태로 낮아지고 있음을 알 수 있다.
3. 엔진오일 수명 예측
3.1 엔진오일 점도 예측 모델 생성
2절의 내용을 바탕으로 엔진오일의 점도변화에 영향을 주는 요소로 지상무기체계에서 측정한 냉각수 특성치와 외기온도, 항온 챔버에서 측정한 엔진오일 온도를 정의하였다. 임의 선택방식으로 13대의 지상무기체계 및 엔진오일에서 측정한 값을 학습용 데이터(Train data), 2대의 지상무기체계 및 엔진오일에서 측정한 값을 검증용 데이터(Test data)로 구성한 후, 사이킷런(Scikit-learn)10)에서 제공하는 DTR(Decision Tree Regressor), RFR(Random Forest Regression), GBR(Gradient Boost Regressor)을 이용하여 회귀 모델을 구성하였다. Decision tree는 특정 조건을 기준으로 데이터를 여러개의 집단으로 분류하는 기법이고, Random forest는 여러개의 Decision tree를 독립적으로 구성하여 분류를 진행하기에 Decision tree의 과적합을 완화해주고, Gradient boost는 깊이가 얕은 여러개의 Decision tree를 사용하여 이전 트리의 오차를 보완하는 방식이다. 회귀모델의 평가지표로 평균제곱오차(MSE, Mean Squared Error)를 사용하였고, 각 모델별 회귀 분석 결과가 Fig. 7과 같다. Fig. 7(a)는 학습용 데이터에 대한 회귀 분석 결과를 보여주는데, DTR의 MSE가 0.0으로 가장 높은 정확도를 나타내고 있으나, Fig. 7(b)의 검증용 데이터에 대한 회귀 분석 결과에서는 DTR의 MSE가 가장 높은 것으로 도출되었다. 이는 DTR이 과적합되어 발생한 문제로, 본 연구에서는 검증용 데이터의 MSE가 가장 낮은 RFR을 대표 회귀 모델로 설정하였다.
RFR모델의 예측 성능 향상을 위해 Bayesian optimization11)을 이용하여 RFR모델의 파라미터를 최적화 하였다. Bayesian optimization은 목적함수의 형태를 정하지 않은 상태에서 전역 최적화를 수행하기 위한 순차적 설계 전략으로, 다양한 머신러닝 모델의 파라미터 최적화에 활용되고 있다. Table 1은 최적화된 RFR모델에 검증용 데이터를 입력하여 예측한 결과를 보여주는데, 최대 오차가 2.68 %로 매우 낮게 나타나고 있다. 이는 지상무기체계의 주행거리, 운용시간과 관계없이 엔진 공회전시 측정한 냉각수 온도와 외기온도 데이터만 있으면, 엔진오일의 점도를 매우 높은 정확도로 예측할 수 있음을 의미한다.
3.2 엔진오일 수명예측
Fig. 4(a), (b)의 데이터를 이용하여 주행거리 및 가동시간과 냉각수 특성치간 피어슨 상관계수(Pearson’s correlation coefficient12))를 구해보면 주행거리와 냉각수 특성치사이의 상관계수는 -0.49, 가동시간과 냉각수 특성치사이의 상관계수는 -0.36으로 계산된다. 이것은 가동시간보다는 주행거리가 냉각수 특성치와 조금 더 상관성이 높고, 주행거리를 기준으로 엔진오일을 교체하는 것이 타당함을 의미한다. 이에 본 연구에서는 엔진오일 수명예측을 위한 상태지표로 주행거리를 설정하였다.
Fig. 6에서 확인할 수 있듯이 엔진오일의 점도는 온도에 민감하게 반응 한다. 온도별 점도 데이터와 주행거리 간 피어슨 상관계수를 구해보면 -5 oC에서는 0.05, 5 oC에서는 -0.13, 15 oC에서는 -0.01, 25 oC에서는 -0.4이다. 25 oC에서 측정한 점도가 주행거리와 가장 상관성이 높으므로, 본 연구에서는 25 oC 점도값을 대표 점도로 설정하였다.
주행거리 예측을 위한 입력데이터로 가동시간, 냉각수 특성치, 25 oC 점도를 설정하였고, 출력데이터로 주행거리를 설정한 후, RFR모델 대한 Bayesian optimization통해 주행거리 예측모델을 생성하였다.
Fig. 8은 상기의 과정을 정리한 엔진오일 수명예측 프로세스를 보여준다. 먼저 공회전시 냉각수 온도와 외기온도를 계측한다. Fig. 3에서 냉각수 특성치를 산출하기 위해 약 1시간 동안 데이터를 수집하는 것이 필요하다. 수집된 냉각수 온도데이터를 이용하여 냉각수 온도가 45 oC에서 55 oC까지 상승하는데 소요되는 시간인 냉각수 특성치를 산출한다. 냉각수 특성치, 외기온도, 오일 기준온도인 25 oC를 입력데이터로 구성하여 3.1절에서 생성한 RFR 점도예측모델을 이용하여 오일 온도 25 oC에서의 점도를 예측한다. 이를 통해 냉각수 온도 측정당시의 외기온도에 상관없이 오일 온도가 25 oC일 때의 점도값을 확보할 수 있다. 이후 가동시간, 냉각수 특성치, 25 oC 오일 점도를 입력데이터로 구성하여 RFR주행거리 예측모델을 이용하여 엔진오일 상태에 기반한 주행거리를 산출한다. 예측 주행거리가 임계치보다 작으면 앞으로 사용가능한 주행거리를 계산하고, 임계치보다 크면 교체 권고 메시지를 보내게 된다.
Fig. 9는 3.1절에서 사용한 검증용 데이터에 대해 Fig. 8의 프로세스를 적용하여 예측한 주행거리와 실제 주행거리를 보여준다. Test #1의 경우 실제 주행거리는 81.3 km, 예측 주행거리는 140.8 km가 산출되어 주행거리 임계치를 200 km로 가정했을 때, 향후 엔진오일 교체시까지 약 60 km 주행이 가능함을 의미한다. Test #2의 경우 실제 주행거리 283.1 km, 예측 주행거리 231.9 km로 실제값과 예측값 간 차이가 거의 없게 나타났고, 임계치 200 km를 초과하였기 때문에 엔진오일 교체가 시급히 필요한 것으로 판단된다.
4. 결 론
본 연구에서는 엔진에서 수집한 냉각수 온도데이터를 이용하여 엔진오일의 잔여 수명을 예측하는 방법론을 제시하였다.
- 1) 냉각수 특성치와 엔진오일 점도가 밀접한 연관이 있음을 확인하였고, 냉각수 특성치, 외기온도를 이용하여 엔진오일의 점도를 예측하는 RFR 점도예측 모델을 생성하였다.
- 2) 가동시간, 냉각수 특성치, 점도를 이용하여 지상무기체계의 주행거리를 예측하는 RFR 주행거리 예측 모델을 생성하였다.
- 3) Bayesian optimization을 이용하여 FR모델에 대한 파라미터 최적화를 실시하였고, 이를 통해 모델의 정확도를 향상하였다.
- 4) 지상무기체계에서 측정한 가동시간, 냉각수 온도, 외기온도를 이용하여 지상무기체계의 주행거리를 예측하였고, 주행거리 임계치와의 비교를 통해 엔진오일의 사용가능한 잔여 주행거리를 산출함으로써 엔진오일의 수명을 예측하는 방법론을 개발하였다.
본 연구에서 개발한 엔진오일 수명예측 기법을 이용하여 지상무기체계의 운용 이력 및 환경, 정비 상태에 따라 달라지는 엔진오일 상태를 정확하게 판단하고, 이를 기준으로 엔진오일의 잔여 수명을 예측함으로써 효율적인 엔진오일 관리가 가능할 것으로 판단된다. 향후 추가 데이터 수집을 통해 머신러닝모델의 정확도를 향상시킴으로써 엔진오일 잔여 수명 예측 결과의 신뢰도를 높여 나갈 계획이다.
Acknowledgments
이 논문은 2022년 정부(방위사업청)의 재원으로 국방기술진흥연구소의 지원을 받아 수행된 연구임(KRIT-CT-22-081, 무기체계 CBM+ 특화연구센터).
References
- Y. Kim, D. Kim, C. Shin and J. Shin, “A Study on the Change of Physical Properties of Engine Oil after Vehicle Driving,” Defense and Technology, No.550, pp.104-115, 2025.
- Y. Hwang, “Weapons System CBM+ Research Center,” Conference Proceedings of the Korean Reliability Society, pp.3-9, 2023.
-
Y. K. Lim, S. Y. Ham, J. M. Lee and C. S. Jeong, “A Study on the Change of Physical Properties of Engine Oil after Vehicle Driving,” Journal of the Korean Society of Tribologists & Lubrication Engineers, Vol.28, No.2, pp.93-98, 2012.
[https://doi.org/10.9725/kstle.2012.28.2.093]
-
M. J. Kim, T. H. Sin and S. H. Lee, “Measurement of the Engine Oil Deterioration of the Diesel Vehicle Using the Engine Oil Level Gauge,” Transactions of KSAE, Vol.25, No.1, pp.60-65, 2017.
[https://doi.org/10.7467/KSAE.2017.25.1.060]
-
S. M. Chun, “Development of an Engine Oil Quality Monitoring System,” Journal of the Korean Society of Tribologists & Lubrication Engineers, Vol.27, No.3, pp.125-133, 2011.
[https://doi.org/10.9725/kstle.2011.27.3.125]
- Y. W. Kim, J. H. Song and H. J. Kim, “Analysis of Oil Performance by Different Type of Engine Oil in the Field,” Journal of Energy Engineering, Vol.26, No.3, pp.131-136, 2017.
-
J. Zhu, J. M. Yoon, D. He, Y. Qu and E. Bechhoefer, “Lubrication Oil Condition Monitoring and Remaining Useful Life Prediction with Particle Filtering,” International Journal of Prognostics and Health Management, Vol.4, pp.124-138, 2013.
[https://doi.org/10.36001/ijphm.2013.v4i3.2151]
-
H. G. Kim and S. I. Jeon, “Effect on Friction of Engine Oil Seal with Engine Oil Viscosity,” Int. J. Automotive Technology, Vol.9, No.5, pp.601-606, 2008.
[https://doi.org/10.1007/s12239-008-0071-0]
-
S. P. Jung and D. H. Yu, “Prediction of Vehicle Engine Oil Viscosity Using OBDII Signal,” Int. J. Automotive Technology, Vol.24, No.2, pp.595-602, 2023.
[https://doi.org/10.1007/s12239-023-0050-5]
- Scikit-learn, Regression, https://scikit-learn.org/stable/supervised_learning.html, , 2024.
-
P. Hennig, M. A. Osborne and H. P. Kersting, Probabilistic Numerics-Computations as Machine Learning, Cambridge University Press, pp.251-257, 2022.
[https://doi.org/10.1017/9781316681411]
-
P. Ahlgren, B. Jarneving and R. Rousseau, “Requirements for a Cocitation Similarity Measure, with Special Reference to Pearson’s Correlation Coefficient,” Journal of the American Society for Information Science and Technology, Vol.54, No.6, pp.550-560, 2003.
[https://doi.org/10.1002/asi.10242]









